Αναζήτηση στη Δι@ύγεια για:  
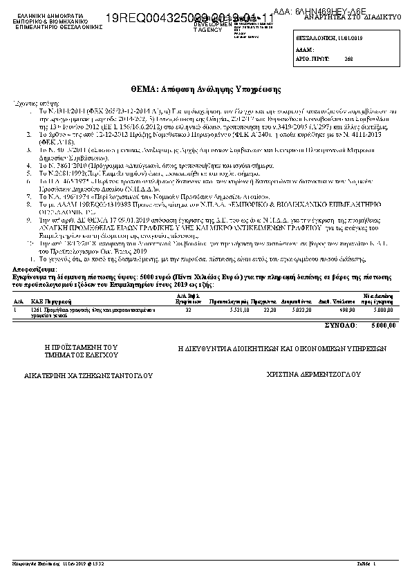
1. ΠΡΟΜΗΘΕΙΑ ΕΙΔΩΝ ΓΡΑΦΙΚΗΣ ΥΛΗΣ ΚΑΙ ΜΙΚΡΟΑΝΤΙΚΕΙΜΕΝΩΝ ΓΡΑΦΕΙΟΥ ΕΜΠΟΡΙΚΟ ΚΑΙ ΒΙΟΜΗΧΑΝΙΚΟ ΕΠΙΜΕΛ. ΘΕΣ/ΝΙΚΗΣΤΜΗΜΑ ΛΟΓΙΣΤΗΡΙΟΥ, ΤΑΜΕΙΟΥ ΚΑΙ ΕΠΙΜΕΛΗΤΕΙΑΣ2019-01-11
2. ΕΚΔΟΣΗ ΤΕΤΡΑΜΗΝΙΑΙΟΥ ΔΕΛΤΙΟΥ ΤΟΥ ΕΒΕΘ ΕΜΠΟΡΙΚΟ ΚΑΙ ΒΙΟΜΗΧΑΝΙΚΟ ΕΠΙΜΕΛ. ΘΕΣ/ΝΙΚΗΣΤΜΗΜΑ ΛΟΓΙΣΤΗΡΙΟΥ, ΤΑΜΕΙΟΥ ΚΑΙ ΕΠΙΜΕΛΗΤΕΙΑΣ2019-01-11
3. ΠΡΟΜΗΘΕΙΑ ΚΑΘΙΣΜΑΤΩΝ ΕΡΓΑΣΙΩΝ ΕΜΠΟΡΙΚΟ ΚΑΙ ΒΙΟΜΗΧΑΝΙΚΟ ΕΠΙΜΕΛ. ΘΕΣ/ΝΙΚΗΣΤΜΗΜΑ ΛΟΓΙΣΤΗΡΙΟΥ, ΤΑΜΕΙΟΥ ΚΑΙ ΕΠΙΜΕΛΗΤΕΙΑΣ2019-01-11
4. ΠΡΟΜΗΘΕΙΑ ΕΙΔΩΝ ΚΑΘΑΡΙΟΤΗΤΑΣ ΚΑΙ ΕΥΠΡΕΠΙΣΜΟΥ ΕΜΠΟΡΙΚΟ ΚΑΙ ΒΙΟΜΗΧΑΝΙΚΟ ΕΠΙΜΕΛ. ΘΕΣ/ΝΙΚΗΣΤΜΗΜΑ ΛΟΓΙΣΤΗΡΙΟΥ, ΤΑΜΕΙΟΥ ΚΑΙ ΕΠΙΜΕΛΗΤΕΙΑΣ2019-01-11
5. ΑΠΟΦΑΣΗ ΑΝΑΛΗΨΗΣ ΥΠΟΧΡΕΩΣΗΣ ΓΙΑ ΤΗΝ ΠΑΡΟΧΗ ΥΠΗΡΕΣΙΩΝ ΤΑΧΥΜΕΤΑΦΟΡΩΝ ΕΜΠΟΡΙΚΟ ΚΑΙ ΒΙΟΜΗΧΑΝΙΚΟ ΕΠΙΜΕΛ. ΘΕΣ/ΝΙΚΗΣΤΜΗΜΑ ΛΟΓΙΣΤΗΡΙΟΥ, ΤΑΜΕΙΟΥ ΚΑΙ ΕΠΙΜΕΛΗΤΕΙΑΣ2019-01-28
6. ΑΠΟΦΑΣΗ ΑΝΑΛΗΨΗΣ ΥΠΟΧΡΕΩΣΗΣ ΓΙΑ ΤΗΝ ΠΑΡΟΧΗ ΥΠΗΡΕΣΙΩΝ ΚΕΤΕΡΙΝΓΚ ΕΜΠΟΡΙΚΟ ΚΑΙ ΒΙΟΜΗΧΑΝΙΚΟ ΕΠΙΜΕΛ. ΘΕΣ/ΝΙΚΗΣΤΜΗΜΑ ΛΟΓΙΣΤΗΡΙΟΥ, ΤΑΜΕΙΟΥ ΚΑΙ ΕΠΙΜΕΛΗΤΕΙΑΣ2019-01-28
7. ΑΠΟΦΑΣΗ ΑΝΑΛΗΨΗΣ ΥΠΟΧΡΕΩΣΗΣ ΓΙΑ ΑΣΦΑΛΙΣΤΗΡΙΑ ΣΥΜΒΟΛΑΙΑ ΕΜΠΟΡΙΚΟ ΚΑΙ ΒΙΟΜΗΧΑΝΙΚΟ ΕΠΙΜΕΛ. ΘΕΣ/ΝΙΚΗΣΤΜΗΜΑ ΛΟΓΙΣΤΗΡΙΟΥ, ΤΑΜΕΙΟΥ ΚΑΙ ΕΠΙΜΕΛΗΤΕΙΑΣ2019-01-23
8. ΠΑΡΟΧΗ ΣΥΜΒΟΥΛΕΥΤΙΚΩΝ ΥΠΗΡΕΣΙΩΝ ΠΡΟΣ ΤΗ Δ.Ε. ΤΟΥ ΕΒΕΘ, ΑΛΛΑ ΚΑΙ ΤΙΣ ΙΔΙΩΤΙΚΕΣ ΕΠΙΧΕΙΡΗΣΕΙΣ ΜΕ ΤΗΝ ΙΔΙΟΤΗΤΑ ΤΟΥ PRIVATE SECTOR LIAISON OFFICER ΤΗΣ ΠΑΓΚΟΣΜΙΑΣ ΤΡΑΠΕΖΑΣ ΓΙΑ ΤΗ ΧΩΡΑ ΜΑΣ ΕΜΠΟΡΙΚΟ ΚΑΙ ΒΙΟΜΗΧΑΝΙΚΟ ΕΠΙΜΕΛ. ΘΕΣ/ΝΙΚΗΣΤΜΗΜΑ ΛΟΓΙΣΤΗΡΙΟΥ, ΤΑΜΕΙΟΥ ΚΑΙ ΕΠΙΜΕΛΗΤΕΙΑΣ2019-08-05
9. ΥΠΗΡΕΣΙΕΣ ΕΛΕΓΧΟΥ ΣΤΕΓΑΝΟΤΗΤΑΣ ΤΟΥ ΔΙΚΤΥΟΥ ΦΥΣΙΚΟΥ ΑΕΡΙΟΥ ΚΑΙ ΕΚΔΟΣΗ ΠΙΣΤΟΠΟΙΗΤΙΚΟΥ ΣΤΕΓΑΝΟΤΗΤΑΣ ΤΕΤΡΑΕΤΟΥΣ ΔΙΑΡΚΕΙΑΣ ΕΜΠΟΡΙΚΟ ΚΑΙ ΒΙΟΜΗΧΑΝΙΚΟ ΕΠΙΜΕΛ. ΘΕΣ/ΝΙΚΗΣΤΜΗΜΑ ΛΟΓΙΣΤΗΡΙΟΥ, ΤΑΜΕΙΟΥ ΚΑΙ ΕΠΙΜΕΛΗΤΕΙΑΣ2019-08-05
10. ΕΡΓΑΣΙΕΣ ΑΝΤΙΚΑΤΑΣΤΑΣΗΣ ΜΑΡΜΑΡΟΥ ΣΤΗΝ ΕΙΣΟΔΟ ΤΟΥ ΚΤΙΡΙΟΥ ΤΟΥ ΕΒΕΘ ΕΠΙ ΤΗΣ ΟΔΟΥ ΤΣΙΜΙΣΚΗ ΕΜΠΟΡΙΚΟ ΚΑΙ ΒΙΟΜΗΧΑΝΙΚΟ ΕΠΙΜΕΛ. ΘΕΣ/ΝΙΚΗΣΤΜΗΜΑ ΛΟΓΙΣΤΗΡΙΟΥ, ΤΑΜΕΙΟΥ ΚΑΙ ΕΠΙΜΕΛΗΤΕΙΑΣ2019-08-05