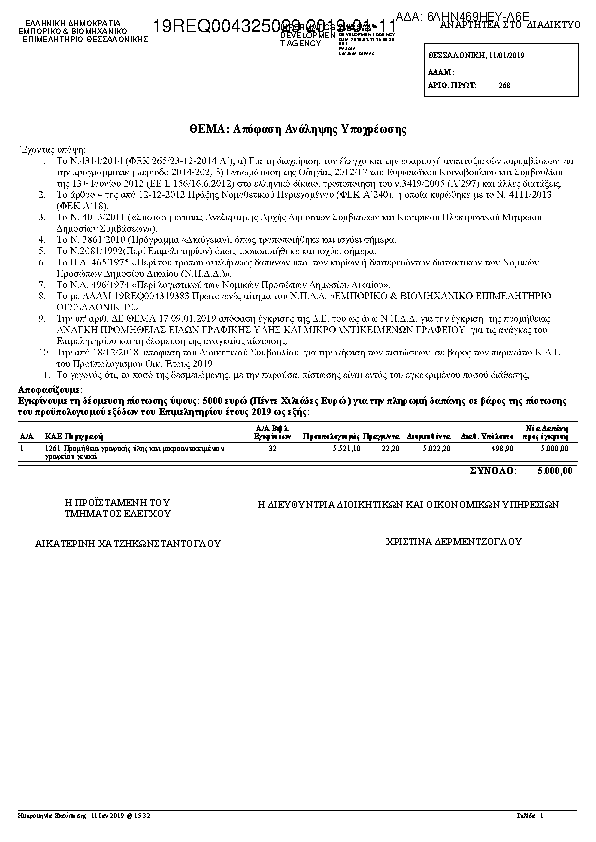
ΠΡΟΜΗΘΕΙΑ ΕΙΔΩΝ ΓΡΑΦΙΚΗΣ ΥΛΗΣ ΚΑΙ ΜΙΚΡΟΑΝΤΙΚΕΙΜΕΝΩΝ ΓΡΑΦΕΙΟΥΑΔΑ: 6ΛΗΝ469ΗΕΥ-Λ6Ε

Πρώτη σελίδα του εγγράφου

Η απόφαση με ΑΔΑ 6ΛΗΝ469ΗΕΥ-Λ6Ε δημοσιεύθηκε από την υπηρεσία ΕΜΠΟΡΙΚΟ ΚΑΙ ΒΙΟΜΗΧΑΝΙΚΟ ΕΠΙΜΕΛ. ΘΕΣ/ΝΙΚΗΣ » ΤΜΗΜΑ ΛΟΓΙΣΤΗΡΙΟΥ, ΤΑΜΕΙΟΥ ΚΑΙ ΕΠΙΜΕΛΗΤΕΙΑΣ στις 2019-01-11. Ο τύπος της απόφασης είναι Άγνωστος και την υπέγραψε ο/η .

Τακτικός Προϋπολογισμός
ΠΡΑΞΗ
Επιστροφή στην προηγούμενη σελίδα