Αναζήτηση στη Δι@ύγεια για:  
1. ΕΡΓΟ 04/16 ΜΕΙΩΣΗ ΕΓΓΥΗΣΕΩΝ ΔΗΜΟΤΙΚΗ ΕΠΙΧΕΙΡΗΣΗ ΥΔΡΕΥΣΗΣ ΑΠΟΧΕΤΕΥΣΗΣ ΛΑΡΙΣΑΣΤΕΧΝΙΚΗ ΥΠΗΡΕΣΙΑ2019-12-06
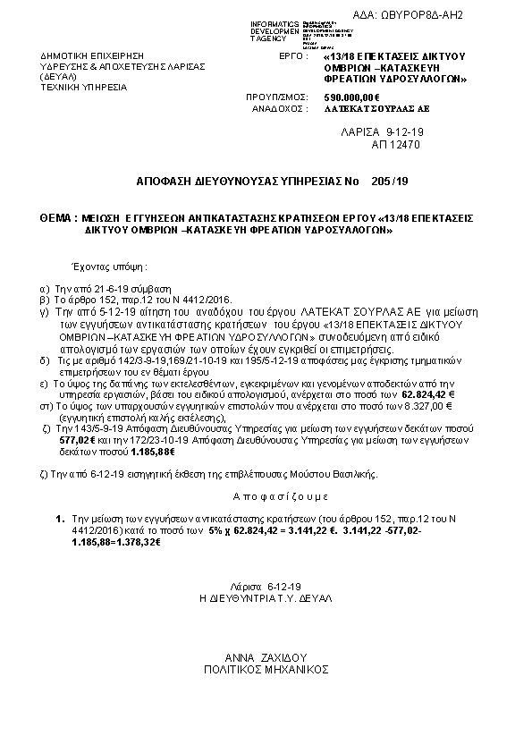
2. ΕΡΓΟ 13/18 - ΜΕΙΩΣΗ ΕΓΓΥΗΣΕΩΝ ΔΗΜΟΤΙΚΗ ΕΠΙΧΕΙΡΗΣΗ ΥΔΡΕΥΣΗΣ ΑΠΟΧΕΤΕΥΣΗΣ ΛΑΡΙΣΑΣΤΕΧΝΙΚΗ ΥΠΗΡΕΣΙΑ2019-12-06
3. ΕΡΓΟ 13/18 ΕΓΚΡΙΣΗ 3ΟΥ ΠΠΑΕ ΔΗΜΟΤΙΚΗ ΕΠΙΧΕΙΡΗΣΗ ΥΔΡΕΥΣΗΣ ΑΠΟΧΕΤΕΥΣΗΣ ΛΑΡΙΣΑΣΤΕΧΝΙΚΗ ΥΠΗΡΕΣΙΑ2019-12-10
4. ΕΡΓΟ 1/18 ΜΕΙΩΣΗ ΕΓΓΥΗΣΕΩΝ ΔΗΜΟΤΙΚΗ ΕΠΙΧΕΙΡΗΣΗ ΥΔΡΕΥΣΗΣ ΑΠΟΧΕΤΕΥΣΗΣ ΛΑΡΙΣΑΣΤΕΧΝΙΚΗ ΥΠΗΡΕΣΙΑ2019-12-12
5. ΕΡΓΟ 1/18 - ΕΓΚΡΙΣΗ 9ΟΥ ΠΠΑΕ ΔΗΜΟΤΙΚΗ ΕΠΙΧΕΙΡΗΣΗ ΥΔΡΕΥΣΗΣ ΑΠΟΧΕΤΕΥΣΗΣ ΛΑΡΙΣΑΣΤΕΧΝΙΚΗ ΥΠΗΡΕΣΙΑ2019-12-11
6. ΕΡΓΟ 11/18 - ΕΓΚΡΙΣΗ 2ΟΥ ΠΠΑΕ & 2ΗΣ ΑΝΑΛΥΤΙΚΗΣ ΔΗΜΟΤΙΚΗ ΕΠΙΧΕΙΡΗΣΗ ΥΔΡΕΥΣΗΣ ΑΠΟΧΕΤΕΥΣΗΣ ΛΑΡΙΣΑΣΤΕΧΝΙΚΗ ΥΠΗΡΕΣΙΑ2019-12-13
7. ΕΡΓΟ 16/17 - ΜΕΙΩΣΗ ΕΓΓΥΗΣΗΣ ΔΗΜΟΤΙΚΗ ΕΠΙΧΕΙΡΗΣΗ ΥΔΡΕΥΣΗΣ ΑΠΟΧΕΤΕΥΣΗΣ ΛΑΡΙΣΑΣΤΕΧΝΙΚΗ ΥΠΗΡΕΣΙΑ2019-12-20
8. ΕΡΓΟ 16/17 - ΕΓΚΡΙΣΗ 9ΟΥ ΠΠΑΕ ΔΗΜΟΤΙΚΗ ΕΠΙΧΕΙΡΗΣΗ ΥΔΡΕΥΣΗΣ ΑΠΟΧΕΤΕΥΣΗΣ ΛΑΡΙΣΑΣΤΕΧΝΙΚΗ ΥΠΗΡΕΣΙΑ2019-12-19
9. ΕΡΓΟ: ΚΕΝΤΡΙΚΟΣ ΑΓΩΓΟΣ ΦΑΛΑΝΗΣ-ΜΕΙΩΣΗ ΕΓΓΥΗΣΕΩΝ ΔΗΜΟΤΙΚΗ ΕΠΙΧΕΙΡΗΣΗ ΥΔΡΕΥΣΗΣ ΑΠΟΧΕΤΕΥΣΗΣ ΛΑΡΙΣΑΣΤΕΧΝΙΚΗ ΥΠΗΡΕΣΙΑ2019-12-20
10. ΕΡΓΟ: ΚΕΝΤΡΙΚΟΣ ΑΠ. ΑΓΩΓΟΣ ΦΑΛΑΝΗΣ, ΜΕΙΩΣΗ ΕΓΓΥΗΣΕΩΝ ΔΗΜΟΤΙΚΗ ΕΠΙΧΕΙΡΗΣΗ ΥΔΡΕΥΣΗΣ ΑΠΟΧΕΤΕΥΣΗΣ ΛΑΡΙΣΑΣΤΕΧΝΙΚΗ ΥΠΗΡΕΣΙΑ2019-12-31