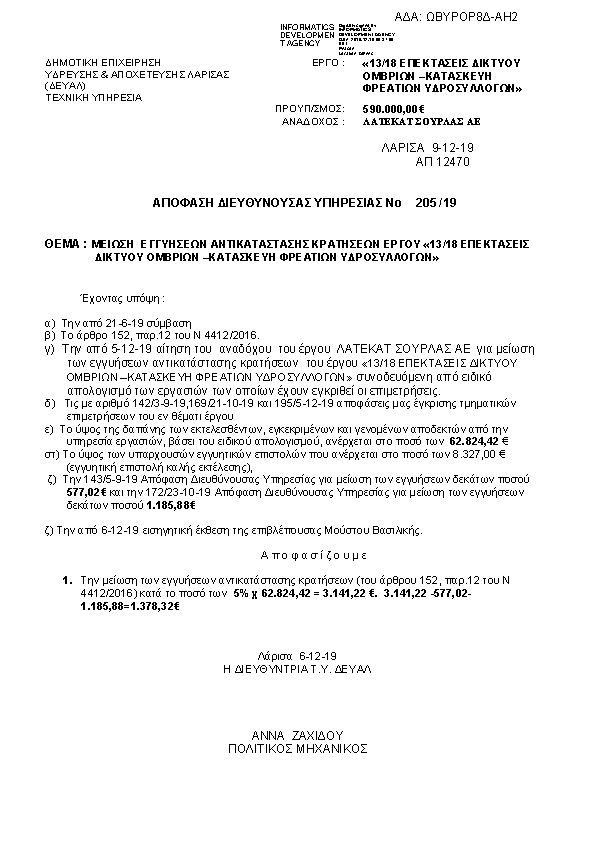
ΕΡΓΟ 13/18 - ΜΕΙΩΣΗ ΕΓΓΥΗΣΕΩΝΑΔΑ: ΩΒΥΡΟΡ8Δ-ΑΗ2

Πρώτη σελίδα του εγγράφου

Η απόφαση με ΑΔΑ ΩΒΥΡΟΡ8Δ-ΑΗ2 δημοσιεύθηκε από την υπηρεσία ΔΗΜΟΤΙΚΗ ΕΠΙΧΕΙΡΗΣΗ ΥΔΡΕΥΣΗΣ ΑΠΟΧΕΤΕΥΣΗΣ ΛΑΡΙΣΑΣ » ΤΕΧΝΙΚΗ ΥΠΗΡΕΣΙΑ στις 2019-12-06. Ο τύπος της απόφασης είναι Άγνωστος και την υπέγραψε ο/η .

Πράξη Οργάνου Διοίκησης ΟΤΑ Α’ και Β’...
στο κατάστημα της υπηρεσίας
ΠΡΑΞΗ
Επιστροφή στην προηγούμενη σελίδα