Toggle navigation
Δι@ύγεια
Ελληνική Νομοθεσία (Φ.Ε.Κ.)
Προκηρύξεις και Προμήθειες
Πρακτικά της Βουλής
Ανάλυση
GR
EN
Tweet
Σύνολο
274
Διάταξη ανά
Ημερομηνία
Σχετικότητα
Επιπλέον επιλογές
Αναζήτηση σε προκηρύξεις και συμβάσεις για:
1. ΤΣΙΜΕΝΤΟΣΤΡΩΣΗ ΟΔΟΥ ΠΡΟΣ ΔΕΞΑΜΕΝΗ ΓΑΥΡΙΟΥ Δ.Ε. ΥΔΡΟΥΣΑΣ
2014-12-29
σύμβαση
€5.860,41
14SYMV002509084
2. ΠΥΡΟΠΡΟΣΤΑΣΙΑ - Εργασίες συντήρησης δρόμων Πυροπροστασίας Δ.Ε Άνδρου, Κορθιου
2014-12-29
σύμβαση
€2.000,00
14SYMV002508793
3. ΚΑΤΑΣΚΕΥΗ ΦΡΕΑΤΙΟΥ ΜΕ ΣΙΔΕΡΕΝΙΑ ΣΧΑΡΑ ΣΤΟ ΔΗΜΟΤΙΚΟ ΣΧΟΛΕΙΟ ΧΩΡΑΣ ΑΝΔΡΟΥ
2014-12-29
σύμβαση
€5.588,52
14SYMV002508372
4. ΠΡΟΜΗΘΕΙΑ ΑΝΤΛΙΑΣ
2014-12-30
σύμβαση
€3.200,00
14SYMV002512557
5. ΠΡΟΜΗΘΕΙΑ ΟΠΛΙΣΜΟΥ ΣΧΑΡΩΝ
2014-12-30
σύμβαση
€2.950,80
14SYMV002512467
6. Εργασίες καθαρισμού μονοπατιών και χώρων γύρω απο τις πηγές Δήμου Άνδρου
2014-12-31
σύμβαση
€2.500,00
14SYMV002514791
7. ΑΣΦΑΛΕΙΕΣ
2014-12-31
σύμβαση
€3.448,27
14SYMV002514752
8. ΠΡΟΜΗΘΕΙΑ ΑΘΛΗΤΙΚΟΥ ΕΞΟΠΛΙΣΜΟΥ
2014-12-31
σύμβαση
€3.874,90
14SYMV002514573
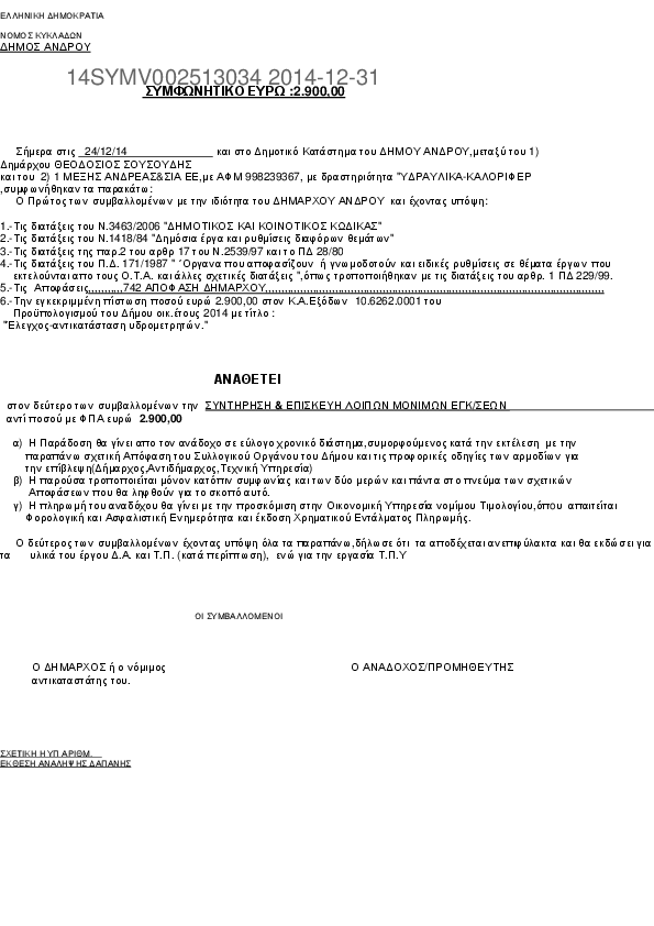
9. ΣΥΝΤΗΡΗΣΗ&ΕΠΙΣΚΕΥΗ ΛΟΙΠΩΝ ΜΟΝΙΜΩΝ ΕΓΚ/ΣΕΩΝ
2014-12-31
σύμβαση
€20.961,20
14SYMV002513034
10. ΠΡΟΜΗΘΕΙΑ ΑΝΤΛΙΩΝ
2014-12-31
σύμβαση
€15.000,00
14SYMV002512840
Περισσότερα αποτελέσματα
Επιστροφή στην κορυφή
Αναζήτηση στο ΚΗΜΔΗΣ
Αναζήτηση
Έτος από
2026
2025
2024
2023
2022
2021
2020
2019
2018
2017
2016
2015
2014
2013
2012
2011
2010
Εώς
2026
2025
2024
2023
2022
2021
2020
2019
2018
2017
2016
2015
2014
2013
2012
2011
2010
Οργανισμός
Τύπος
Σύμβαση
Προκήρυξη
Αναζήτηση
Οργανισμοί
Δήμος Άνδρου
274
Όλοι οι Οργανισμοί
Έτη
2014
274
Όλα τα Έτη
Τα δεδομένα από το Κεντρικό Ηλεκτρονικό Μητρώο Δημοσίων Συμβάσεων (ΚΗΜΔΗΣ) ανακτώνται από τους δημιουργούς του εργαλείου DEiXTo καθώς το ΚΗΜΔΗΣ δεν παρέχει ανοικτά δεδομένα. Για περισσότερες πληροφορίες:
deixto.com