Σύνολο 306
 
Αναζήτηση σε προκηρύξεις και συμβάσεις για:  
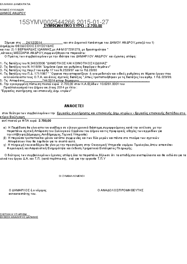
2. Εργασίες επισκευής δαπέδου
2015-01-27σύμβαση€2.327,5915SYMV002544266
3. ΠΡΟΜΗΘΕΙΑ ΚΑΥΣΙΜΩΝ
2015-02-05σύμβαση€8.620,6915SYMV002559804
4. ΠΡΟΜΗΘΕΙΑ ΚΑΥΣΙΜΩΝ
2015-02-05σύμβαση€8.620,6915SYMV002559679
5. ΠΡΟΜΗΘΕΙΑ ΚΑΥΣΙΜΩΝ
2015-02-04σύμβαση€8.620,6915SYMV002556776
6. Ασφάλιστρα μεταφορικών μέσων
2015-02-09σύμβαση€5.374,9315SYMV002565204
7. Ασφάλιστρα μεταφορικών μέσων
2015-02-09σύμβαση€5.374,9315SYMV002565193
8. ΠΡΟΜΗΘΕΙΑ ΚΑΥΣΙΜΩΝ Δ.ΑΝΔΡΟΥ
2015-02-10προκήρυξη€42.665,0015PROC002565767
9. « ΥΠΗΡΕΣΙΕΣ ΔΕΜΑΤΟΠΟΙΗΣΗΣ ΑΠΟΡΡΙΜΜΑΤΩΝ »
2015-03-19προκήρυξη€60.000,0015PROC002652288
10. ΣΥΝΤΗΡΗΣΗ Κ ΕΠΙΣΚΕΥΗ ΟΧΗΜΑΤΟΣ
2015-03-12σύμβαση€11.724,3015SYMV002633501