Αναζήτηση στη Δι@ύγεια για:  
1. ΑΠΟΦΑΣΗ 136/2018 Δ.Σ. ΔΕΥΑΤ ΜΕ Θ Ε Μ Α: «Διάφορες αιτήσεις» ΔΗΜΟΤΙΚΗ ΕΠΙΧΕΙΡΗΣΗ ΥΔΡΕΥΣΗΣ ΑΠΟΧΕΤΕΥΣΗΣ ΤΡΙΠΟΛΗΣ ( Δ.Ε.Υ.Α.Τ. )ΑΝΤΙΠΡΟΕΔΡΟΣ ΔΣ ΔΕΥΑ ΤΡΙΠΟΛΗΣ2018-12-12
2. ΑΠΟΦΑΣΗ 112/2018 ΠΡΟΕΔΡΟΥ ΔΣ ΔΕΥΑΤ ΣΧΕΤΙΚΑ ΜΕ ΕΓΚΡΙΣΗ ΤΗΣ ΥΠΗΡΕΣΙΑΣ: ΕΞΟΔΑ ΔΗΜΟΣΙΕΥΣΕΩΝ ΑΓΓΕΛΙΩΝ ΚΑΙ ΑΝΑΚΟΙΝΩΣΕΩΝ ΔΗΜΟΤΙΚΗ ΕΠΙΧΕΙΡΗΣΗ ΥΔΡΕΥΣΗΣ ΑΠΟΧΕΤΕΥΣΗΣ ΤΡΙΠΟΛΗΣ ( Δ.Ε.Υ.Α.Τ. )ΑΝΤΙΠΡΟΕΔΡΟΣ ΔΣ ΔΕΥΑ ΤΡΙΠΟΛΗΣ2018-12-18
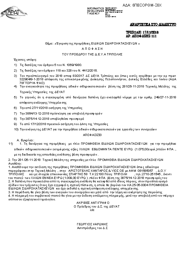
3. ΑΠΟΦΑΣΗ 111/2018 ΠΡΟΕΔΡΟΥ ΔΣ ΔΕΥΑΤ ΣΧΕΤΙΚΑ ΜΕ ΕΓΚΡΙΣΗ ΤΗΣ ΠΡΟΜΗΘΕΙΑΣ ΕΙΔΙΚΩΝ ΣΙΔΗΡΟΚΑΤΑΣΚΕΥΩΝ ΔΗΜΟΤΙΚΗ ΕΠΙΧΕΙΡΗΣΗ ΥΔΡΕΥΣΗΣ ΑΠΟΧΕΤΕΥΣΗΣ ΤΡΙΠΟΛΗΣ ( Δ.Ε.Υ.Α.Τ. )ΑΝΤΙΠΡΟΕΔΡΟΣ ΔΣ ΔΕΥΑ ΤΡΙΠΟΛΗΣ2018-12-17
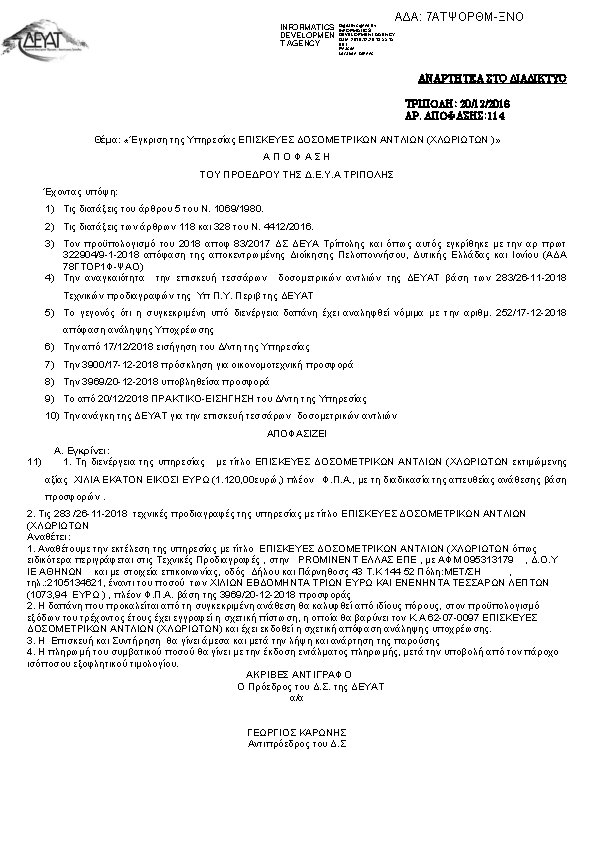
4. ΑΝΑΘΕΣΗ ΥΠΗΡΕΣΙΑΣ ΕΠΙΣΚΕΥΕΣ ΔΟΣΟΜΕΤΡΙΚΩΝ ΑΝΤΛΙΩΝ ΔΗΜΟΤΙΚΗ ΕΠΙΧΕΙΡΗΣΗ ΥΔΡΕΥΣΗΣ ΑΠΟΧΕΤΕΥΣΗΣ ΤΡΙΠΟΛΗΣ ( Δ.Ε.Υ.Α.Τ. )ΑΝΤΙΠΡΟΕΔΡΟΣ ΔΣ ΔΕΥΑ ΤΡΙΠΟΛΗΣ2018-12-20
5. ΑΠΟΦΑΣΗ 113/2018 ΠΡΟΕΔΡΟΥ Δ.Σ. ΔΕΥΑΤ ΣΧΕΤΙΚΑ ΜΕ ΕΓΚΡΙΣΗ ΤΗΣ ΠΡΟΜΗΘΕΙΑΣ ΑΝΤΛΙΩΝ ΚΑΙ Η/Μ ΕΞΟΠΛΙΣΜΟΥ ΒΙΟΛΟΓΙΚΟΥ ΔΗΜΟΤΙΚΗ ΕΠΙΧΕΙΡΗΣΗ ΥΔΡΕΥΣΗΣ ΑΠΟΧΕΤΕΥΣΗΣ ΤΡΙΠΟΛΗΣ ( Δ.Ε.Υ.Α.Τ. )ΑΝΤΙΠΡΟΕΔΡΟΣ ΔΣ ΔΕΥΑ ΤΡΙΠΟΛΗΣ2018-12-19
6. ΑΠΟΦΑΣΗ 142/2018 Δ.Σ. ΔΕΥΑΤ ΜΕ Θ Ε Μ Α: «Έγκριση Τεχνικού Προγράμματος έτους 2019» ΔΗΜΟΤΙΚΗ ΕΠΙΧΕΙΡΗΣΗ ΥΔΡΕΥΣΗΣ ΑΠΟΧΕΤΕΥΣΗΣ ΤΡΙΠΟΛΗΣ ( Δ.Ε.Υ.Α.Τ. )ΑΝΤΙΠΡΟΕΔΡΟΣ ΔΣ ΔΕΥΑ ΤΡΙΠΟΛΗΣ2018-12-31
7. ΑΠΟΦΑΣΗ 146/2018 Δ.Σ. ΔΕΥΑΤ ΜΕ Θ Ε Μ Α: «Έγκριση αποφάσεων Επιτροπής Επίλυσης με συμβιβασμό των διαφορών πελατών της Επιχείρησης σύμφωνα με τον Κανονισμό Εκπτώσεων λογαριασμών έτους 2018» ΔΗΜΟΤΙΚΗ ΕΠΙΧΕΙΡΗΣΗ ΥΔΡΕΥΣΗΣ ΑΠΟΧΕΤΕΥΣΗΣ ΤΡΙΠΟΛΗΣ ( Δ.Ε.Υ.Α.Τ. )ΑΝΤΙΠΡΟΕΔΡΟΣ ΔΣ ΔΕΥΑ ΤΡΙΠΟΛΗΣ2018-12-31
8. ΑΠΟΦΑΣΗ 145/2018 Δ.Σ. ΔΕΥΑΤ ΜΕ Θ Ε Μ Α: «Έγκριση αποφάσεων Προέδρου, Αντιπροέδρου και Γεν. Διευθυντή έτους 2018» ΔΗΜΟΤΙΚΗ ΕΠΙΧΕΙΡΗΣΗ ΥΔΡΕΥΣΗΣ ΑΠΟΧΕΤΕΥΣΗΣ ΤΡΙΠΟΛΗΣ ( Δ.Ε.Υ.Α.Τ. )ΑΝΤΙΠΡΟΕΔΡΟΣ ΔΣ ΔΕΥΑ ΤΡΙΠΟΛΗΣ2018-12-31
9. ΑΠΟΦΑΣΗ 144/2018 Δ.Σ. ΔΕΥΑΤ ΜΕ Θ Ε Μ Α: «Επί αιτήσεως Σωματείου Εργαζομένων στην ΔΕΥΑ Τρίπολης» ΔΗΜΟΤΙΚΗ ΕΠΙΧΕΙΡΗΣΗ ΥΔΡΕΥΣΗΣ ΑΠΟΧΕΤΕΥΣΗΣ ΤΡΙΠΟΛΗΣ ( Δ.Ε.Υ.Α.Τ. )ΑΝΤΙΠΡΟΕΔΡΟΣ ΔΣ ΔΕΥΑ ΤΡΙΠΟΛΗΣ2018-12-31
10. ΑΠΟΦΑΣΗ 143/2018 Δ.Σ. ΔΕΥΑΤ ΜΕ Θ Ε Μ Α: «Έγκριση Προϋπολογισμού έτους 2019» ΔΗΜΟΤΙΚΗ ΕΠΙΧΕΙΡΗΣΗ ΥΔΡΕΥΣΗΣ ΑΠΟΧΕΤΕΥΣΗΣ ΤΡΙΠΟΛΗΣ ( Δ.Ε.Υ.Α.Τ. )ΑΝΤΙΠΡΟΕΔΡΟΣ ΔΣ ΔΕΥΑ ΤΡΙΠΟΛΗΣ2018-12-31