Αναζήτηση στη Δι@ύγεια για:  Οικονομική
1. ΠΡΟΜΗΘΕΙΑ ΓΡΑΦΙΚΗΣ ΥΛΗΣ ΓΙΑ ΤΙΣ ΑΝΑΓΚΕΣ ΤΟΥ ΦΘΙΝΟΠΩΡΙΝΟΥ ΕΞΑΜΗΝΟΥ 2018Β ΤΟΥ ΔΙΕΚ ΛΗΜΝΟΥ Ίδρυμα Νεολαίας και Δια Βίου Μάθησης2019-12-31
2. ΣΥΝΤΗΡΗΣΗ ΦΩΤΟΤΥΠΙΚΟΥ ΓΙΑ ΤΙΣ ΑΝΑΓΚΕΣ ΤΟΥ ΦΘΙΝΟΠΩΡΙΝΟΥ ΕΞΑΜΗΝΟΥ 2018Β ΤΟΥ ΔΙΕΚ ΒΕΡΟΙΑΣ Ίδρυμα Νεολαίας και Δια Βίου Μάθησης2019-12-31
4. ΠΡΟΜΗΘΕΙΑ ΑΝΑΛΩΣΙΜΟΥ ΥΛΙΚΟΥ ΓΙΑ ΤΙΣ ΑΝΑΓΚΕΣ ΤΩΝ ΚΕΝΤΡΙΚΩΝ ΥΠΗΡΕΣΙΩΝ ΤΟΥ Ι.ΝΕ.ΔΙ.ΒΙ.Μ Ίδρυμα Νεολαίας και Δια Βίου Μάθησης2019-12-31
5. ΑΜΟΙΒΗ ΟΡΚΩΤΩΝ ΛΟΓΙΣΤΩΝ ΓΙΑ ΕΛΕΓΧΟ ΟΙΚΟΝΟΜΙΚΩΝ ΚΑΤΑΣΤΑΣΕΩΝ ΤΟΥ 2014 Ίδρυμα Νεολαίας και Δια Βίου Μάθησης2019-12-31
6. ΕΡΓΟΔΟΤΙΚΕΣ ΕΙΣΦΟΡΕΣ ΚΑΙ ΕΠΙΒΑΡΥΝΣΕΙΣ ΕΜΜΙΣΘΟΥ ΠΡΟΣΩΠΙΚΟΥ ΣΤΟ ΠΛΑΙΣΙΟ ΤΟΥ ΕΡΓΟΥ ΣΔΕ Ίδρυμα Νεολαίας και Δια Βίου Μάθησης2019-12-31
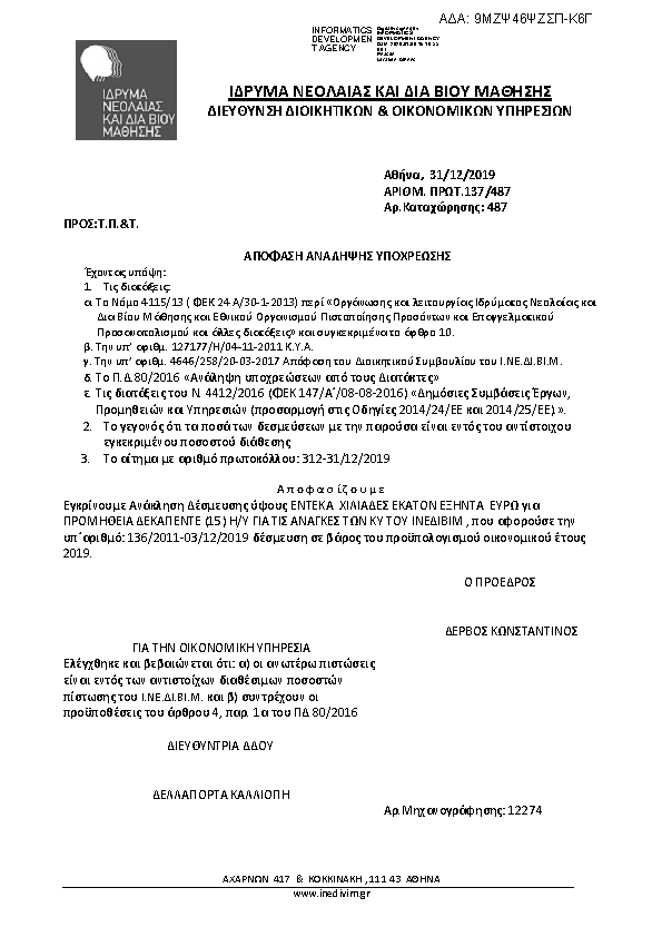
7. ΠΡΟΜΗΘΕΙΑ ΔΕΚΑΠΕΝΤΕ (15) Η/Υ ΓΙΑ ΤΙΣ ΑΝΑΓΚΕΣ ΤΩΝ ΚΥ ΤΟΥ ΙΝΕΔΙΒΙΜ Ίδρυμα Νεολαίας και Δια Βίου Μάθησης2019-12-31
8. ΤΡΑΠΕΖΙΚΑ ΕΞΟΔΑ Ίδρυμα Νεολαίας και Δια Βίου Μάθησης2019-12-31
9. ΕΞΟΔΑ ΠΡΟΒΟΛΗΣ ΚΑΙ ΔΙΑΦΗΜΙΣΗΣ ΣΤΟ ΠΛΑΙΣΙΟ ΤΟΥ ΕΡΓΟΥ Σ.Δ.Ε. Ίδρυμα Νεολαίας και Δια Βίου Μάθησης2020-01-01
10. ΕΠΙΣΚΕΥΗ ΚΛΙΜΑΤΙΣΤΙΚΩΝ ΣΤΗ Φ.Ε. ΡΕΘΥΜΝΟΥ Ίδρυμα Νεολαίας και Δια Βίου Μάθησης2019-12-31