Αναζήτηση στη Δι@ύγεια για:  Οικονομική
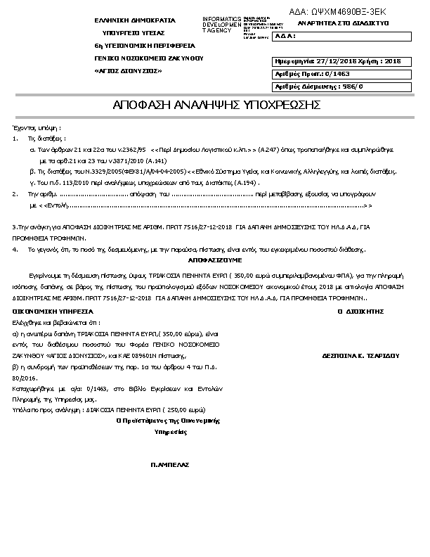
1. ΑΠΟΦΑΣΗ ΔΙΟΙΚΗΤΡΙΑΣ ΜΕ ΑΡΙΘΜ. ΠΡΩΤ.7516/27-12-2018 ΓΙΑ ΔΑΠΑΝΗ ΔΗΜΟΣΙΕΥΣΗΣ ΤΟΥ ΗΛ.Δ.Α.Δ ΓΙΑ ΠΡΟΜΗΘΕΙΑ ΤΡΟΦΙΜΩΝ. ΝΟΜ.ΓΕΝ. ΝΟΣΟΚΟΜΕΙΟ ΖΑΚΥΝΘΟΥΔΙΟΙΚΗΣΗ2018-12-27
3. ΓΙΑ ΤΗΛΕΦΩΝΙΚΕΣ ΣΥΝΔΙΑΛΕΞΕΙΣ ΕΤΟΥΣ 2018. ΝΟΜ.ΓΕΝ. ΝΟΣΟΚΟΜΕΙΟ ΖΑΚΥΝΘΟΥΔΙΟΙΚΗΣΗ2018-12-28
7. ΕΡΓΑΣΙΕΣ ΕΚΤΑΚΤΩΝ ΕΠΙΣΚΕΥΩΝ ΣΤΟ ΣΙΔΕΡΩΤΗΡΙΟ ΚΑΙ ΣΤΑ ΠΛΥΝΤΗΡΙΑ ΤΟΥ Γ.Ν.ΖΑΚΥΝΘΟΥ ΑΠΟΦΑΣΗ Δ.Σ.20/21-12-2018. ΝΟΜ.ΓΕΝ. ΝΟΣΟΚΟΜΕΙΟ ΖΑΚΥΝΘΟΥΔΙΟΙΚΗΣΗ2018-12-31
8. ΣΥΜΒΑΣΗ ΥΠ ΑΡΙΘΜ 119/2017 ΜΕ ΕΤΑΙΡΕΙΑ GE HEALTHCARE AE ΓΙΑ ΥΠΗΡΕΣΙΕΣ ΕΠΙΣΚΕΥΗΣ ΚΑΙ ΣΥΝΤΗΡΗΣΗΣ ΕΞΟΠΛΙΣΜΟΥ ΑΚΤΙΝΟΛΟΓΙΚΟΥ. ΝΟΜ.ΓΕΝ. ΝΟΣΟΚΟΜΕΙΟ ΖΑΚΥΝΘΟΥΔΙΟΙΚΗΣΗ2018-12-27
10. ΣΥΜΒΑΣΗ 139/2018 ΜΕ ΕΤΑΙΡΕΙΑ ΤΑΧΥΜΕΤΑΦΟΡΕΣ ΕΛΤΑ Α.Ε. ΓΙΑ ΤΗΝ ΑΝΑΘΕΣΗ ΤΟΥ ΕΡΓΟΥ ΔΙΑΚΙΝΗΣΗ ΑΛΛΗΛΟΓΡΑΦΙΑΣ ΝΟΜ.ΓΕΝ. ΝΟΣΟΚΟΜΕΙΟ ΖΑΚΥΝΘΟΥΔΙΟΙΚΗΣΗ2018-12-31