Toggle navigation
Δι@ύγεια
Ελληνική Νομοθεσία (Φ.Ε.Κ.)
Προκηρύξεις και Προμήθειες
Πρακτικά της Βουλής
Ανάλυση
GR
EN
Tweet
Σύνολο
42
Διάταξη ανά
Ημερομηνία
Σχετικότητα
Επιπλέον επιλογές
Αναζήτηση σε προκηρύξεις και συμβάσεις για:
1. ΣΥΜΒΑΣΗ ΜΕ OTS
2014-12-16
σύμβαση
€2.615,00
14SYMV002480282
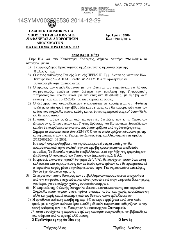
2. ΣΥΜΒΑΣΗ ΜΕ ΚΑΤ' ΕΠΙΣΚΕΨΙΝ ΙΑΤΡΟ ΠΕΡΙΔΗ ΑΝΤΩΝΙΟ
2014-12-29
σύμβαση
€2.817,24
14SYMV002506536
3. ΣΥΜΒΑΣΗ ΑΡΤΟΤΡΟΦΟΔΟΣΙΑΣ ΓΙΑ ΕΝΑ ΕΤΟΣ ΜΕ ΗΛΙΑΣ ΤΡΑΜΠΕΛΗΣ & ΣΙΑ Ο.Ε
2014-12-31
σύμβαση
€17.715,00
14SYMV002513527
4. ΣΥΜΒΑΣΗ ΑΡΤΟΤΡΟΦΟΔΟΣΙΑΣ ΓΙΑ ΕΝΑ ΕΤΟΣ ΜΕ ΝΕΣΚΕΣ ΜΙΧΑΗΛ ΜΟΝΟΠΡ.ΕΠΕ
2014-12-31
σύμβαση
€12.974,30
14SYMV002513407
5. ΣΥΜΒΑΣΗ ΑΡΤΟΤΡΟΦΟΔΟΣΙΑΣ ΓΙΑ ΕΝΑ ΕΤΟΣ ΜΕ ΥΠΕΡΑΓΟΡΑ ΤΡΟΦΟΔΟΣΙΑΣ ΚΩ Μ.Ε.Π.Ε.
2014-12-31
σύμβαση
€17.482,80
14SYMV002513552
6. ΣΥΜΒΑΣΗ ΑΡΤΟΤΡΟΦΟΔΟΣΙΑΣ ΓΙΑ ΕΝΑ ΕΤΟΣ ΜΕ ΝΕΣΚΕΣ ΔΑΥΪΔ &ΣΙΑ Ο.Ε
2014-12-31
σύμβαση
€10.933,20
14SYMV002513357
7. ΣΥΜΒΑΣΗ ΑΡΤΟΤΡΟΦΟΔΟΣΙΑΣ ΓΙΑ ΕΝΑ ΕΤΟΣ ΜΕ ΧΑΤΖΗΔΑΥΪΔ ΛΙΒΗΡΑ
2014-12-31
σύμβαση
€15.004,50
14SYMV002513287
8. ΣΥΜΒΑΣΗ ΑΡΤΟΤΡΟΦΟΔΟΣΙΑΣ ΓΙΑ ΕΝΑ ΕΤΟΣ ΜΕ ΖΑΣΠΑ Α.Ε
2014-12-31
σύμβαση
€900,00
14SYMV002513188
9. ΣΥΜΒΑΣΗ ΑΡΤΟΤΡΟΦΟΔΟΣΙΑΣ ΓΙΑ ΕΝΑ ΕΤΟΣ ΜΕ ΝΕΣΚΕΣ ΔΑΥΪΔ &ΣΙΑ Ο.Ε
2015-01-16
σύμβαση
€10.933,20
15SYMV002529534
10. ΣΥΜΒΑΣΗ ΑΡΤΟΤΡΟΦΟΔΟΣΙΑΣ ΓΙΑ ΕΝΑ ΕΤΟΣ ΜΕ ΝΕΣΚΕΣ ΔΑΥΪΔ &ΣΙΑ Ο.Ε
2015-01-16
σύμβαση
€10.933,20
15SYMV002529478
Περισσότερα αποτελέσματα
Επιστροφή στην κορυφή
Αναζήτηση στο ΚΗΜΔΗΣ
Αναζήτηση
Έτος από
2026
2025
2024
2023
2022
2021
2020
2019
2018
2017
2016
2015
2014
2013
2012
2011
2010
Εώς
2026
2025
2024
2023
2022
2021
2020
2019
2018
2017
2016
2015
2014
2013
2012
2011
2010
Οργανισμός
Τύπος
Σύμβαση
Προκήρυξη
Αναζήτηση
Οργανισμοί
ΚΑΤΑΣΤΗΜΑ ΚΡΑΤΗΣΗΣ ΚΩ
42
Όλοι οι Οργανισμοί
Έτη
2015
2
2014
26
2013
14
Τα δεδομένα από το Κεντρικό Ηλεκτρονικό Μητρώο Δημοσίων Συμβάσεων (ΚΗΜΔΗΣ) ανακτώνται από τους δημιουργούς του εργαλείου DEiXTo καθώς το ΚΗΜΔΗΣ δεν παρέχει ανοικτά δεδομένα. Για περισσότερες πληροφορίες:
deixto.com