Toggle navigation
Δι@ύγεια
Ελληνική Νομοθεσία (Φ.Ε.Κ.)
Προκηρύξεις και Προμήθειες
Πρακτικά της Βουλής
Ανάλυση
GR
EN
Tweet
Σύνολο
9
Διάταξη ανά
Ημερομηνία
Σχετικότητα
Επιπλέον επιλογές
Αναζήτηση σε προκηρύξεις και συμβάσεις για:
Ρυθμίσεων
1. ΠΡΟΜΗΘΕΙΑ ΠΡΟΚΑΤΑΣΚΕΥΑΣΜΕΝΟΥ ΚΙΒΩΤΙΟΥ ΣΚΥΡΟΔΕΜΑΤΟΣ ΜΕ ΠΛΗΡΗ ΕΞΟΠΛΙΣΜΟ
2013-11-05
προκήρυξη
€30.000,00
13PROC001699523
2. ΔΙΑΓΩΝΙΣΜΟΣ ΓΙΑ ΠΡΟΜΗΘΕΙΑ ΕΛΑΣΤΙΚΩΝ ΓΙΑ ΤΑ ΟΧΗΜΑΤΑ ΤΟΥ ΔΗΜΟΥ ΜΑΣ
2013-11-04
προκήρυξη
€18.539,80
13PROC001698867
3. ΟΡΟΙ ΔΙΑΚΗΡΥΞΗΣ ΗΛΕΚΤΡΟΛΟΓΙΚΟΥ ΥΛΙΚΟΥ
2013-09-10
προκήρυξη
€59.972,90
13PROC001611696
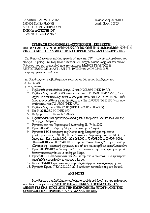
4. ΣΥΝΤΗΡΗΣΗ
2013-09-06
προκήρυξη
€48.780,00
13PROC001608720
5. ΗΛΕΚΤΡΟΛΟΓΙΚΑ ΕΙΔΗ
2013-11-01
σύμβαση
€35.327,00
13SYMV001693987
6. ΠΡΟΜΗΘΕΙΑ ΠΡΟΚΑΤΑΣΚΕΥΑΣΜΕΝΟΥ ΣΚΥΡΟΔΕΜΑΤΟΣ ΜΕ ΠΛΗΡΗ ΕΞΟΠΛΙΣΜΟ ΓΙΑ ΒΡΕΦΟΝΗΠΙΑΚΟ ΣΤΑΘΜΟ
2013-11-14
σύμβαση
€30.000,00
13SYMV001718559
7. ΕΛΑΣΤΙΚΑ ΟΧΗΜΑΤΩΝ ΤΟΥ ΔΗΜΟΥ ΓΙΑ ΤΟ ΕΤΟΣ 2013
2013-11-14
σύμβαση
€18.539,80
13SYMV001718423
8. ΗΛΕΚΤΡΟΛΟΓΙΚΑ ΕΙΔΗ
2013-10-31
σύμβαση
€44.402,00
13SYMV001693464
9. ΣΥΝΤΗΡΗΣΗ
2013-09-06
σύμβαση
€48.780,00
13SYMV001608726
Άλλα σχετικά με "Ρυθμίσεων"
Δι@ύγεια
149.535
Ελληνική Νομοθε...
9.111
Προκηρύξεις και...
9
Πρακτικά της Βο...
1.809
Αναζήτηση στο ΚΗΜΔΗΣ
Αναζήτηση
Έτος από
2025
2024
2023
2022
2021
2020
2019
2018
2017
2016
2015
2014
2013
2012
2011
2010
Εώς
2025
2024
2023
2022
2021
2020
2019
2018
2017
2016
2015
2014
2013
2012
2011
2010
Οργανισμός
Τύπος
Σύμβαση
Προκήρυξη
Αναζήτηση
Οργανισμοί
Δήμος Καισαριανής
9
Όλοι οι Οργανισμοί
Έτη
2013
9
Όλα τα Έτη
Τα δεδομένα από το Κεντρικό Ηλεκτρονικό Μητρώο Δημοσίων Συμβάσεων (ΚΗΜΔΗΣ) ανακτώνται από τους δημιουργούς του εργαλείου DEiXTo καθώς το ΚΗΜΔΗΣ δεν παρέχει ανοικτά δεδομένα. Για περισσότερες πληροφορίες:
deixto.com