Toggle navigation
Δι@ύγεια
Ελληνική Νομοθεσία (Φ.Ε.Κ.)
Προκηρύξεις και Προμήθειες
Πρακτικά της Βουλής
Ανάλυση
GR
EN
Tweet
Σύνολο
33
Διάταξη ανά
Ημερομηνία
Σχετικότητα
Επιπλέον επιλογές
Αναζήτηση σε προκηρύξεις και συμβάσεις για:
Ετήσιο
1. Πρόσκληση εκδήλωσης ενδιαφέροντος για τη διενέργεια πρόχειρου επαναληπτικού μειοδοτικού διαγωνισμού
2014-10-02
προκήρυξη
€60.000,00
14PROC002318801
2. ΠΡΟΣΚΛΗΣΗ ΕΝΔΙΑΦ.- ΠΡΟΧ.ΔΙΑΣ/ΜΟΣ (ΑΠΛΗ ΣΥΛΛΟΓΗ ΠΡΟΣΦΟΡΩΝ) ΓΙΑ ΜΙΣΘΩΣΗ ΦΩΤΟΑΝΤΙΓΡΑΦΙΚΟΥ ΜΗΧ/ΤΟΣ
2014-10-13
προκήρυξη
€1.252,03
14PROC002335802
3. προμήθεια ασφαλών διατάξεων δημιουργίας υπογραφής (ΑΔΔΥ)
2014-10-20
προκήρυξη
€59.915,00
14PROC002349569
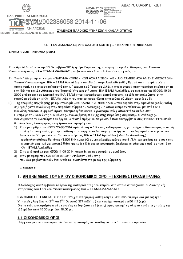
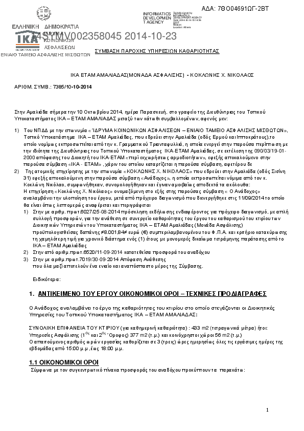
4. ΣΥΜΒΑΣΗ ΠΑΡΟΧΗΣ ΥΠΗΡΕΣΙΩΝ ΚΑΘΑΡΙΟΤΗΤΑΣ
2014-10-23
σύμβαση
€5.280,00
14SYMV002358045
5. ΣΥΜΒΑΣΗ ΠΑΡΟΧΗΣ ΥΠΗΡΕΣΙΩΝ ΚΑΘΑΡΙΟΤΗΤΑΣ
2014-11-06
σύμβαση
€5.280,00
14SYMV002386058
6. ΠΡΟΣΚΛΗΣΗ ΕΝΔΙΑΦ.- ΕΠΑΝΑΛ.ΠΡΟΧ.ΔΙΑΣ/ΜΟΣ (ΑΠΛΗ ΣΥΛΛΟΓΗ ΠΡΟΣΦΟΡΩΝ) ΓΙΑ ΜΙΣΘΩΣΗ ΦΩΤΟΑΝΤ/ΚΟΥ ΜΗΧ/ΤΟΣ
2014-11-11
προκήρυξη
€1.252,03
14PROC002395684
7. ΠΡΟΣΚΛΗΣΗ ΕΝΔΙΑΦ.- ΕΠΑΝΑΛ.ΠΡΟΧ.ΔΙΑΣ/ΜΟΣ (ΑΠΛΗ ΣΥΛ. ΠΡΟΣΦ.) ΓΙΑ ΜΙΣΘΩΣΗ ΦΩΤΟΑΝΤ/ΚΟΥ ΜΗΧ/ΤΟΣ (ΟΡΘΗ ΕΠΑ
2014-11-14
προκήρυξη
€1.252,03
14PROC002403078
8. ΣΥΜΒΑΣΗ ΑΝΑΝΕΩΣΗΣ ΣΥΜΒΛΟΛΑΙΟΥ ΤΗΛΕΦΩΝΙΚΟΥ
2014-12-05
σύμβαση
€342,50
14SYMV002455084
9. ΠΡΟΜΗΘΕΙΑ ΚΑΜΠΙΝΩΝ ΕΠΕΚΤΑΣΗΣ ΚΑΙ ΔΥΟ ΜΕΤΑΓΩΓΩΝ ΔΙΚΤΥΟΥ ΓΙΑ ΤΙΣ ΑΝΑΓΚΕΣ ΤΩΝ ΔΥΟ ΚΕΝΤΡΙΚΩΝ COMPUTER RO
2014-12-11
σύμβαση
€54.353,80
14SYMV002469635
10. ΙΚΑ ΑΜΑΡΟΥΣΙΟΥ
2015-03-06
σύμβαση
€3.600,00
15SYMV002619950
Περισσότερα αποτελέσματα
Επιστροφή στην κορυφή
Άλλα σχετικά με "Ετήσιο"
Δι@ύγεια
592.710
Ελληνική Νομοθε...
15.806
Προκηρύξεις και...
33
Πρακτικά της Βο...
917
Αναζήτηση στο ΚΗΜΔΗΣ
Αναζήτηση
Έτος από
2025
2024
2023
2022
2021
2020
2019
2018
2017
2016
2015
2014
2013
2012
2011
2010
Εώς
2025
2024
2023
2022
2021
2020
2019
2018
2017
2016
2015
2014
2013
2012
2011
2010
Οργανισμός
Τύπος
Σύμβαση
Προκήρυξη
Αναζήτηση
Οργανισμοί
ΙΚΑ
33
Όλοι οι Οργανισμοί
Έτη
2015
1
2014
24
2013
8
Τα δεδομένα από το Κεντρικό Ηλεκτρονικό Μητρώο Δημοσίων Συμβάσεων (ΚΗΜΔΗΣ) ανακτώνται από τους δημιουργούς του εργαλείου DEiXTo καθώς το ΚΗΜΔΗΣ δεν παρέχει ανοικτά δεδομένα. Για περισσότερες πληροφορίες:
deixto.com