Toggle navigation
Δι@ύγεια
Ελληνική Νομοθεσία (Φ.Ε.Κ.)
Προκηρύξεις και Προμήθειες
Πρακτικά της Βουλής
Ανάλυση
GR
EN
Tweet
Σύνολο
43
Διάταξη ανά
Ημερομηνία
Σχετικότητα
Επιπλέον επιλογές
Αναζήτηση σε προκηρύξεις και συμβάσεις για:
1. ΠΡΟΚΗΡΥΞΗ ΕΠΑΝΑΛΗΠΤΙΚΟΥ ΠΡΟΧΕΙΡΟΥ ΔΙΑΓΩΝΙΣΜΟΥ ΚΑΥΣΙΜΩΝ
2013-12-18
προκήρυξη
€50.406,50
13PROC001792411
2. ΠΡΟΚΗΡΥΞΗ ΔΙΑΓΩΝΙΣΜΟΥ ΕΙΔΩΝ ΚΑΘΑΡΙΟΤΗΤΑΣ
2013-12-16
προκήρυξη
€6.504,06
13PROC001785484
3. ΔΙΑΚΗΡΥΞΗ ΔΙΑΓΩΝΙΣΜΟΥ ΚΑΥΣΙΜΩΝ
2013-12-09
προκήρυξη
€50.406,50
13PROC001767559
4. ΕΓΚΡΙΣΗ ΠΙΣΤΩΣΗΣ ΚΑΕ 1699 (ΚΚ ΧΑΝΙΩΝ
2013-11-29
προκήρυξη
€166.000,00
13PROC001748154
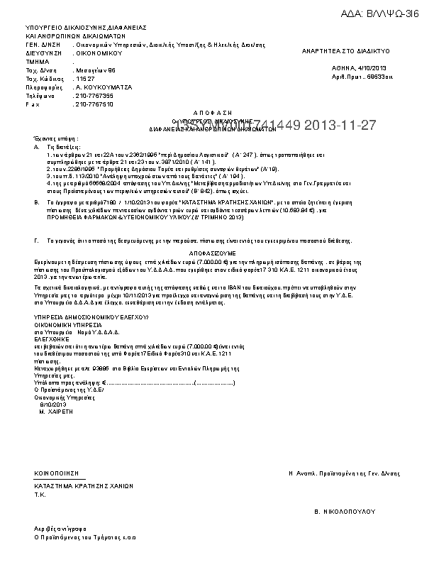
5. ΣΥΜΒΑΣΗ Δ ΤΡΙΜΗΝΟΥ 2013 ΜΕ ΣΥΦΑΧ
2013-11-27
σύμβαση
€6.572,77
13SYMV001741449
6. ΣΥΜΒΑΣΗ Νο 16 ΔΙΑΓΩΝΙΣΜΟΥ ΑΡΤΟΤΡΟΦΟΔΟΣΙΑΣ 2012
2013-10-25
σύμβαση
€39.296,00
13SYMV001684845
7. ΣΥΜΒΑΣΗ Νο 17 ΔΙΑΓΩΝΙΣΜΟΥ ΑΡΤΟΤΡΟΦΟΔΟΣΙΑΣ 2012
2013-10-25
σύμβαση
€28.508,00
13SYMV001684678
8. ΣΥΜΒΑΣΗ ΠΡΟΜΗΘΕΙΑΣ ΑΝΑΜΕΤΑΔΟΤΗ Νο12
2013-10-25
σύμβαση
€3.280,00
13SYMV001685207
9. ΣΥΜΒΑΣΗ Νο 20 ΔΙΑΓΩΝΙΣΜΟΥ ΑΡΤΟΤΡΟΦΟΔΟΣΙΑΣ 2012
2013-10-25
σύμβαση
€16.350,00
13SYMV001685098
10. ΣΥΜΒΑΣΗ Νο 18 ΔΙΑΓΩΝΙΣΜΟΥ ΑΡΤΟΤΡΟΦΟΔΟΣΙΑΣ 2012
2013-10-25
σύμβαση
€47.382,70
13SYMV001685031
Περισσότερα αποτελέσματα
Επιστροφή στην κορυφή
Αναζήτηση στο ΚΗΜΔΗΣ
Αναζήτηση
Έτος από
2026
2025
2024
2023
2022
2021
2020
2019
2018
2017
2016
2015
2014
2013
2012
2011
2010
Εώς
2026
2025
2024
2023
2022
2021
2020
2019
2018
2017
2016
2015
2014
2013
2012
2011
2010
Οργανισμός
Τύπος
Σύμβαση
Προκήρυξη
Αναζήτηση
Οργανισμοί
ΔΙΚΑΣΤIΚΗ ΦΥΛΑΚΗ ΧΑΝΙΩΝ
43
Όλοι οι Οργανισμοί
Έτη
2015
7
2014
13
2013
23
Τα δεδομένα από το Κεντρικό Ηλεκτρονικό Μητρώο Δημοσίων Συμβάσεων (ΚΗΜΔΗΣ) ανακτώνται από τους δημιουργούς του εργαλείου DEiXTo καθώς το ΚΗΜΔΗΣ δεν παρέχει ανοικτά δεδομένα. Για περισσότερες πληροφορίες:
deixto.com