Toggle navigation
Δι@ύγεια
Ελληνική Νομοθεσία (Φ.Ε.Κ.)
Προκηρύξεις και Προμήθειες
Πρακτικά της Βουλής
Ανάλυση
GR
EN
Tweet
Σύνολο
230
Διάταξη ανά
Ημερομηνία
Σχετικότητα
Επιπλέον επιλογές
Αναζήτηση σε προκηρύξεις και συμβάσεις για:
1. Έγκριση μελέτης & όρων διακήρυξης του διαγωνισμού για το έργο «Ολοκλήρωση εργασιών στο Δημοτικό Κοιμητήριο (Β΄φάση)», προϋπολογισμού € 150.000,00 με το Φ.Π.Α. και διάθεσητης σχετικής πίστωσης.
2013-06-10
προκήρυξη
€121.951,00
13PROC001500199
2. ΣΥΜΒΑΣΗ ΓΙΑ ΤΟ ΕΡΓΟ "ΠΑΡΕΜΒΑΣΗ ΣΕ ΔΗΜΟΤΙΚΟ ΚΤΙΡΙΟ ΣΤΟ Ο.Τ. 153"
2013-06-07
σύμβαση
€10.243,50
13SYMV001498506
3. ΣΥΜΠΛΗΡΩΜΑΤΙΚΗ ΣΥΜΒΑΣΗ ΣΥΝΤΗΡΗΣΗΣ ΚΑΙ ΕΠΙΣΚΕΥΗΣ ΟΧΗΜΑΤΩΝ
2013-06-07
σύμβαση
€3.608,28
13SYMV001498480
4. ΠΡΟΜΗΘΕΙΑ ΚΛΙΜΑΤΙΣΜΟΥ ΚΑΙ ΕΞΑΕΡΙΣΜΟΥ
2013-06-06
σύμβαση
€2.195,00
13SYMV001497001
5. ΠΡΟΜΗΘΕΙΑ ΧΡΩΜΑΤΩΝ
2013-05-09
σύμβαση
€2.206,20
13SYMV000756602
6. ΣΥΜΒΑΣΗ ΣΥΝΤΗΡΗΣΗΣ
2013-05-10
σύμβαση
€2.205,00
13SYMV000791852
7. ΣΥΜΒΑΣΗ ΣΥΝΤΗΡΗΣΗΣ
2013-05-10
σύμβαση
€6.035,00
13SYMV000791802
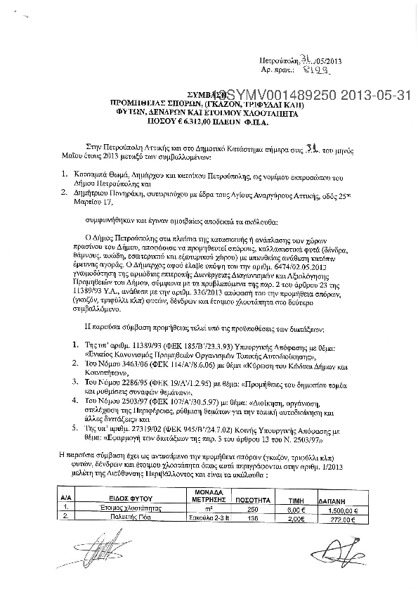
8. ΠΡΟΜΗΘΕΙΑ ΣΠΟΡΩΝ (ΓΚΑΖΟΝ
2013-05-31
σύμβαση
€6.312,00
13SYMV001489250
9. ΠΡΟΜΗΘΕΙΑ ΓΑΛΑΚΤΟΣ 2013
2013-05-08
σύμβαση
€76.781,20
13SYMV000733952
10. ΠΡΟΜΗΘΕΙΑ ΦΩΤΟΤΥΠΙΚΟΥ ΧΑΡΤΟΥ
2013-05-08
σύμβαση
€4.393,00
13SYMV000728852
Περισσότερα αποτελέσματα
Επιστροφή στην κορυφή
Αναζήτηση στο ΚΗΜΔΗΣ
Αναζήτηση
Έτος από
2025
2024
2023
2022
2021
2020
2019
2018
2017
2016
2015
2014
2013
2012
2011
2010
Εώς
2025
2024
2023
2022
2021
2020
2019
2018
2017
2016
2015
2014
2013
2012
2011
2010
Οργανισμός
Τύπος
Σύμβαση
Προκήρυξη
Αναζήτηση
Οργανισμοί
Δήμος Πετρούπολης
230
Όλοι οι Οργανισμοί
Έτη
2015
22
2014
120
2013
88
Τα δεδομένα από το Κεντρικό Ηλεκτρονικό Μητρώο Δημοσίων Συμβάσεων (ΚΗΜΔΗΣ) ανακτώνται από τους δημιουργούς του εργαλείου DEiXTo καθώς το ΚΗΜΔΗΣ δεν παρέχει ανοικτά δεδομένα. Για περισσότερες πληροφορίες:
deixto.com