Toggle navigation
Δι@ύγεια
Ελληνική Νομοθεσία (Φ.Ε.Κ.)
Προκηρύξεις και Προμήθειες
Πρακτικά της Βουλής
Ανάλυση
GR
EN
Tweet
Σύνολο
21
Διάταξη ανά
Ημερομηνία
Σχετικότητα
Επιπλέον επιλογές
Αναζήτηση σε προκηρύξεις και συμβάσεις για:
1. Σύνταξη και υποβολή φακέλου συμμετοχής καθώς και τεχνική υποστήριξη του προγράμματος ‘Εναρμόνιση Οικ
2014-07-21
σύμβαση
€10.926,80
14SYMV002180300
2. ΠΡΟΜΗΘΕΙΑ ΕΙΔΩΝ ΠΑΝΤΟΠΩΛΕΙΟΥ ΔΕ ΚΑΤΟΥΝΑΣ
2014-07-03
σύμβαση
€2.933,92
14SYMV002143758
3. ΣΥΝΤΗΡΗΣΗ ΚΙ ΕΠΙΣΚΕΥΗ ΗΛΕΚΤΡΙΚΩΝ ΕΓΚΑΤΑΣΤΑΣΕΩΝ ΔΗΜΟΤΙΚΩΝ ΠΑΙΔΙΚΩΝ ΣΤΑΘΜΩΝ ΝΠΔΔ
2014-07-30
σύμβαση
€2.438,00
14SYMV002208384
4. ΕΡΓΑΣΙΕΣ ΕΠΙΣΚΕΥΗΣ ΚΑΙ ΣΥΝΤΗΡΗΣΗΣ ΔΠΣ ΔΡΥΜΟΥ
2014-09-02
σύμβαση
€3.252,03
14SYMV002269029
5. ΠΡΟΜΗΘΕΙΑ ΥΛΙΚΩΝ ΣΥΝΤΗΡΗΣΗΣ ΚΙ ΕΠΙΣΚΕΥΗΣ ΔΠΣ ΚΑΤΟΥΝΑΣ
2014-09-02
σύμβαση
€4.064,22
14SYMV002269025
6. ΕΡΓΑΣΙΕΣ ΕΠΙΣΚΕΥΗΣ ΚΑΙ ΣΥΝΤΗΡΗΣΗΣ ΔΠΣ ΚΑΤΟΥΝΑΣ
2014-09-02
σύμβαση
€4.064,22
14SYMV002269022
7. ΠΡΟΜΗΘΕΙΑ ΥΛΙΚΩΝ ΓΙΑ ΕΠΙΣΚΕΥΗ ΚΑΙ ΣΥΝΤΗΡΗΣΗ ΔΠΣ ΔΡΥΜΟΥ
2014-09-02
σύμβαση
€3.252,03
14SYMV002269019
8. ΠΡΟΜΗΘΕΙΑ ΥΛΙΚΩΝ ΕΠΙΣΚΕΥΗΣ ΚΑΙ ΣΥΝΤΗΡΗΣΗΣ ΔΠΣ ΘΥΡΡΕΙΟΥ
2014-09-02
σύμβαση
€3.252,03
14SYMV002269016
9. ΕΡΓΑΣΙΕΣ ΔΙΑΜΟΡΦΩΣΗΣ ΕΙΣΟΔΟΥ ΓΗΠΕΔΟΥ ΒΟΝΙΤΣΑΣ
2014-09-04
σύμβαση
€3.252,03
14SYMV002273889
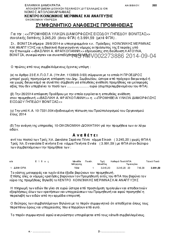
10. ΠΡΟΜΗΘΕΙΑ ΥΛΙΚΩΝ ΔΙΑΜΟΡΦΩΣΗΣ ΕΙΣΟΔΟΥ ΓΗΠΕΔΟΥ ΒΟΝΙΤΣΑΣ
2014-09-04
σύμβαση
€3.252,03
14SYMV002273886
Περισσότερα αποτελέσματα
Επιστροφή στην κορυφή
Αναζήτηση στο ΚΗΜΔΗΣ
Αναζήτηση
Έτος από
2026
2025
2024
2023
2022
2021
2020
2019
2018
2017
2016
2015
2014
2013
2012
2011
2010
Εώς
2026
2025
2024
2023
2022
2021
2020
2019
2018
2017
2016
2015
2014
2013
2012
2011
2010
Οργανισμός
Τύπος
Σύμβαση
Προκήρυξη
Αναζήτηση
Οργανισμοί
ΚΕΝΤΡΟ ΚΟΙΝΩΝΙΚΗΣ ΜΕΡΙ...
21
Όλοι οι Οργανισμοί
Έτη
2014
21
Όλα τα Έτη
Τα δεδομένα από το Κεντρικό Ηλεκτρονικό Μητρώο Δημοσίων Συμβάσεων (ΚΗΜΔΗΣ) ανακτώνται από τους δημιουργούς του εργαλείου DEiXTo καθώς το ΚΗΜΔΗΣ δεν παρέχει ανοικτά δεδομένα. Για περισσότερες πληροφορίες:
deixto.com