Toggle navigation
Δι@ύγεια
Ελληνική Νομοθεσία (Φ.Ε.Κ.)
Προκηρύξεις και Προμήθειες
Πρακτικά της Βουλής
Ανάλυση
GR
EN
Tweet
Σύνολο
662
Διάταξη ανά
Ημερομηνία
Σχετικότητα
Επιπλέον επιλογές
Αναζήτηση σε προκηρύξεις και συμβάσεις για:
1. ΨΗΦΙΑΚΕΣ ΕΚΤΥΠΩΣΕΙΣ ΚΑΙ ΕΦΑΡΜΟΓΕΣ
2013-05-28
σύμβαση
€1.160,00
13SYMV001393852
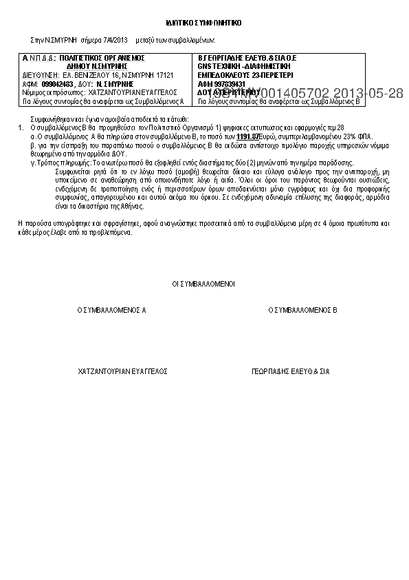
2. ΨΗΦΙΑΚΕΣ ΕΚΤΥΠΩΣΕΙΣ ΚΑΙ ΕΦΑΡΜΟΓΕΣ
2013-05-28
σύμβαση
€969,00
13SYMV001405702
3. ΨΗΦΙΑΚΕΣ ΕΚΤΥΠΩΣΕΙΣ ΚΑΙ ΕΦΑΡΜΟΓΕΣ
2013-05-28
σύμβαση
€1.160,00
13SYMV001399652
4. ΕΝΤΥΠΑ ΓΙΑ ΠΡΟΓΡΑΜΜΑ ΓΑΛΑΞΙΑ
2013-05-28
σύμβαση
€4.065,00
13SYMV001387952
5. ΑΚΥΡΩΜΕΝΗ
2013-05-30
σύμβαση
€1.400,00
13SYMV001487602
6. ΠΑΡΟΧΗ ΥΠΗΡΕΣΙΩΝ ΛΟΓΙΣΜΙΚΗΣ ΥΠΟΣΤΗΡΗΞΗΣ
2013-05-30
σύμβαση
€1.400,00
13SYMV001487908
7. ΑΚΥΡΩΜΕΝΗ
2013-05-30
σύμβαση
€2.439,00
13SYMV001488209
8. HΧΗΤΙΚΗ ΚΑΛΥΨΗ ΠΑΡΑΣΤΑΣΕΩΝ
2013-05-27
σύμβαση
€1.626,00
13SYMV001327252
9. ΠΡΟΜΗΘΕΙΑ ΗΧΗΤΙΚΟΥ ΕΞΟΠΛΙΣΜΟΥ
2013-05-27
σύμβαση
€4.065,00
13SYMV001332202
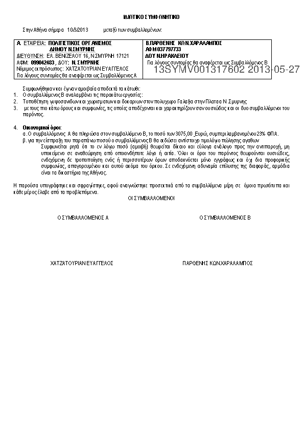
10. ΤΟΠΟΘΕΤΗΣΗ ΓΥΨΟΣΑΝΙΔΩΝ ΣΤΟΝ ΓΑΛΑΞΙΑ
2013-05-27
σύμβαση
€2.500,00
13SYMV001317602
Περισσότερα αποτελέσματα
Επιστροφή στην κορυφή
Αναζήτηση στο ΚΗΜΔΗΣ
Αναζήτηση
Έτος από
2026
2025
2024
2023
2022
2021
2020
2019
2018
2017
2016
2015
2014
2013
2012
2011
2010
Εώς
2026
2025
2024
2023
2022
2021
2020
2019
2018
2017
2016
2015
2014
2013
2012
2011
2010
Οργανισμός
Τύπος
Σύμβαση
Προκήρυξη
Αναζήτηση
Οργανισμοί
ΝΠΔΔ ΠΟΛΙΤΙΣΤΙΚΟΣ ΟΡΓΑ...
662
Όλοι οι Οργανισμοί
Έτη
2015
47
2014
330
2013
285
Τα δεδομένα από το Κεντρικό Ηλεκτρονικό Μητρώο Δημοσίων Συμβάσεων (ΚΗΜΔΗΣ) ανακτώνται από τους δημιουργούς του εργαλείου DEiXTo καθώς το ΚΗΜΔΗΣ δεν παρέχει ανοικτά δεδομένα. Για περισσότερες πληροφορίες:
deixto.com