Toggle navigation
Δι@ύγεια
Ελληνική Νομοθεσία (Φ.Ε.Κ.)
Προκηρύξεις και Προμήθειες
Πρακτικά της Βουλής
Ανάλυση
GR
EN
Tweet
Σύνολο
84
Διάταξη ανά
Ημερομηνία
Σχετικότητα
Επιπλέον επιλογές
Αναζήτηση σε προκηρύξεις και συμβάσεις για:
1. Πραγματοποίηση σεμιναρίων εκμάθησης ψηφιδωτού για την εκπαιδευτική περίοδο 2013
2013-10-08
σύμβαση
€2.100,00
13SYMV001654453
2. Πραγματοποίηση σεμιναρίων ζωγραφικής ανηλίκων εκπαιδευτικής περιόδου 2013
2013-10-08
σύμβαση
€2.800,00
13SYMV001654451
3. Πραγματοποίηση σεμιναρίων ζωγραφικής ανηλίκων εκπαιδευτικής περιόδου 2013
2013-10-08
σύμβαση
€4.000,00
13SYMV001654448
4. Πραγματοποίηση της μουσικής και οπτικής παράστασης Χειρολαβές.
2013-09-13
σύμβαση
€7.758,62
13SYMV001618466
5. Φιλοξενία των συμμετεχόντων στη χορευτική συνάντηση Χίου
2013-09-12
σύμβαση
€3.040,00
13SYMV001616707
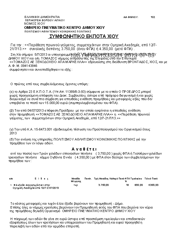
6. ΟΜΗΡΙΚΗ ΑΚΑΔΗΜΙΑ
2013-07-05
σύμβαση
€7.142,86
13SYMV001533561
7. ΟΜΗΡΙΚΗ ΑΚΑΔΗΜΙΑ
2013-07-05
σύμβαση
€7.142,86
13SYMV001533560
8. ΟΜΗΡΙΚΗ ΑΚΑΔΗΜΙΑ
2013-07-05
σύμβαση
€2.293,58
13SYMV001533559
9. Καθαρισμός σωτερικών χώρων Ομηρείου ΠΚΔΧ
2013-06-06
σύμβαση
€12.069,00
13SYMV001497057
10. ΣΥΝΤΟΝΙΣΜΟΣ ΚΑΙ ΟΡΓΑΝΩΣΗ ΕΠΙΜΕΛΕΙΑ ΠΟΛΙΤΙΣΤΙΚΩΝ ΣΕΜΙΝΑΡΙΩΝ ΤΟΥ ΟΠΚΔΧ
2013-06-12
σύμβαση
€6.034,48
13SYMV001504194
Περισσότερα αποτελέσματα
Επιστροφή στην κορυφή
Αναζήτηση στο ΚΗΜΔΗΣ
Αναζήτηση
Έτος από
2025
2024
2023
2022
2021
2020
2019
2018
2017
2016
2015
2014
2013
2012
2011
2010
Εώς
2025
2024
2023
2022
2021
2020
2019
2018
2017
2016
2015
2014
2013
2012
2011
2010
Οργανισμός
Τύπος
Σύμβαση
Προκήρυξη
Αναζήτηση
Οργανισμοί
ΟΜΗΡΕΙΟ ΠΝΕΥΜΑΤΙΚΟ ΚΕΝ...
84
Όλοι οι Οργανισμοί
Έτη
2015
6
2014
39
2013
39
Τα δεδομένα από το Κεντρικό Ηλεκτρονικό Μητρώο Δημοσίων Συμβάσεων (ΚΗΜΔΗΣ) ανακτώνται από τους δημιουργούς του εργαλείου DEiXTo καθώς το ΚΗΜΔΗΣ δεν παρέχει ανοικτά δεδομένα. Για περισσότερες πληροφορίες:
deixto.com