Toggle navigation
Δι@ύγεια
Ελληνική Νομοθεσία (Φ.Ε.Κ.)
Προκηρύξεις και Προμήθειες
Πρακτικά της Βουλής
Ανάλυση
GR
EN
Tweet
Σύνολο
98
Διάταξη ανά
Ημερομηνία
Σχετικότητα
Επιπλέον επιλογές
Αναζήτηση σε προκηρύξεις και συμβάσεις για:
καθαρισμό
1. ΠΕΡΙΛΗΨΗ ΔΙΑΚΗΡΥΞΗΣ ΚΑΙ ΠΡΟΚΗΡΥΞΗ ΕΠΑΝΑΛΗΠΤΙΚΟΥ ΠΡΟΧΕΙΡΟΥ ΜΕΙΟΔΟΤΙΚΟΥ ΔΙΑΓΩΝΙΣΜΟΥ
2013-04-02
προκήρυξη
€73.132,90
13PROC000218002
2. Περίληψη διακήρυξης Επαναληπτικού Πρόχειρου Μειοδοτικού Διαγωνισμού για τις ανάγκες του έργου "Προστασία και Ανάδειξη Αρχ/κού χώρου Κ. Ζάκρου Ν. Λασιθίου.
2013-04-26
προκήρυξη
€73.132,90
13PROC000564352
3. ΔΙΑΚΗΡΥΞΗ ΔΙΑΓΩΝΙΣΜΟΥ ΕΡΓΑΣΙΩΝ ΠΡΟΜΗΘΕΙΑΣ
2013-05-16
προκήρυξη
€32.500,00
13PROC000923852
4. ΣΥΜΒΑΣΗ ΓΙΑ ΤΗΝ ΕΚΠΟΝΗΣΗ ΗΛΕΚΤΡΟΜΗΧΑΝΟΛΟΓΙΚΗΣ ΜΕΛΕΤΗΣ ΤΟΥ ΥΔΑΤΙΝΟΥ ΣΤΟΙΧΕΙΟΥ
2013-03-21
σύμβαση
€2.000,00
13SYMV000163102
5. ΣΥΜΒΑΣΗ ΓΙΑ ΑΝΑΘΕΣΗ ΕΡΓΑΣΙΑΣ
2013-03-21
σύμβαση
€4.878,05
13SYMV000162552
6. Σύμβαση για την ενοικίαση φορητών χημικών τουαλετών για τα Τείχη της Θεσσαλονίκης
2013-03-22
σύμβαση
€2.750,00
13SYMV000172802
7. ΣΥΜΒΑΣΗ ΓΙΑ ΠΑΡΟΧΗ ΤΕΧΝΙΚΗΣ ΥΠΟΣΤΗΡΙΞΗΣ ΔΙΚΤΥΟΥ ΓΓΑ
2013-04-30
σύμβαση
€8.400,00
13SYMV000657152
8. ΕΝΟΙΚΙΑΣΗ ΔΥΟ ΧΗΜΙΚΩΝ ΤΟΥΑΛΕΤΩΝ ΚΑΙ ΠΑΡΟΧΗ ΥΠΗΡΕΣΙΑΣ ΚΑΘΑΡΙΣΜΟΥ
2013-04-25
σύμβαση
€6.707,02
13SYMV000552252
9. ΣΥΜΒΑΣΗ ΤΕΧΝΙΚΗΣ ΥΠΟΣΤΗΡΙΞΗΣ SERVERS & ΔΙΚΤΥΟΥ
2013-04-04
σύμβαση
€8.400,00
13SYMV000239052
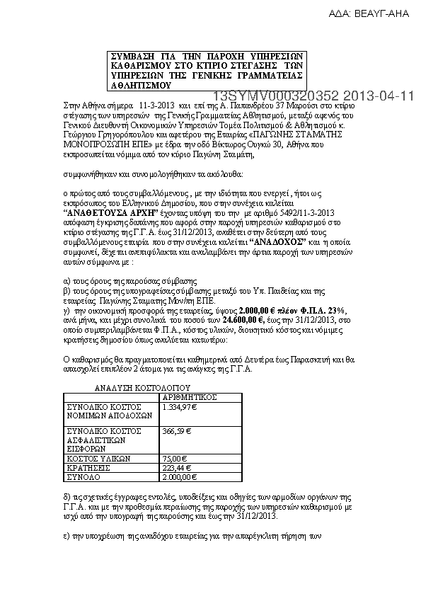
10. ΣΥΜΒΑΣΗ ΓΙΑ ΚΑΘΑΡΙΣΜΟ ΓΡΑΦΕΙΩΝ ΤΗΣ ΓΓΑ ΣΤΟ ΚΤΙΡΙΟ ΤΟΥ ΥΠ.ΠΑΙΔΕΙΑΣ
2013-04-11
σύμβαση
€20.000,00
13SYMV000320352
Περισσότερα αποτελέσματα
Επιστροφή στην κορυφή
Άλλα σχετικά με "καθαρισμό"
Δι@ύγεια
204.607
Ελληνική Νομοθε...
6.440
Προκηρύξεις και...
98
Πρακτικά της Βο...
438
Αναζήτηση στο ΚΗΜΔΗΣ
Αναζήτηση
Έτος από
2025
2024
2023
2022
2021
2020
2019
2018
2017
2016
2015
2014
2013
2012
2011
2010
Εώς
2025
2024
2023
2022
2021
2020
2019
2018
2017
2016
2015
2014
2013
2012
2011
2010
Οργανισμός
Τύπος
Σύμβαση
Προκήρυξη
Αναζήτηση
Οργανισμοί
Υπουργείο Πολιτισμού κ...
98
Όλοι οι Οργανισμοί
Έτη
2015
3
2014
52
2013
43
Τα δεδομένα από το Κεντρικό Ηλεκτρονικό Μητρώο Δημοσίων Συμβάσεων (ΚΗΜΔΗΣ) ανακτώνται από τους δημιουργούς του εργαλείου DEiXTo καθώς το ΚΗΜΔΗΣ δεν παρέχει ανοικτά δεδομένα. Για περισσότερες πληροφορίες:
deixto.com