Toggle navigation
Δι@ύγεια
Ελληνική Νομοθεσία (Φ.Ε.Κ.)
Προκηρύξεις και Προμήθειες
Πρακτικά της Βουλής
Ανάλυση
GR
EN
Tweet
Σύνολο
187
Διάταξη ανά
Ημερομηνία
Σχετικότητα
Επιπλέον επιλογές
Αναζήτηση σε προκηρύξεις και συμβάσεις για:
Προϋπολογισμός
1. ΜΗ ΧΗΜΙΚΑ ΙΑΤΡΙΚΑ ΑΝΑΛΩΣΙΜΑΥΛΙΚΑ ΜΙΑΣ ΧΡΗΣΕΩΣ & ΑΙΜΑΤΟΛΟΓΙΚΑ ΑΝΑΛΩΣΙΜΑ
2013-12-19
προκήρυξη
€12.243,50
13PROC001795716
2. ΟΙΚΟΔΟΜΙΚΟ ΥΛΙΚΟ
2013-12-19
προκήρυξη
€2.177,33
13PROC001795675
3. ΚΑΤΕΨΥΓΜΕΝΑ ΨΑΡΙΑ, ΦΙΛΕΤΑ ΨΑΡΙΩΝ,ΚΑΙ ΑΛΛΑ ΚΡΕΑΤΑ ΨΑΡΙΩΝ
2013-12-06
προκήρυξη
€22.213,40
13PROC001764499
4. BENZINH
2013-12-04
σύμβαση
€3.861,80
13SYMV001759894
5. ΕΞΟΠΛΙΣΜΟΣ ΗΛΕΚΤΡΟΝΙΚΩΝ ΥΠΟΛΟΓΙΣΤΩΝ
2013-11-11
προκήρυξη
€18.366,00
13PROC001710174
6. ΣΑΚΟΙ ΓΙΑ ΟΥΡΑ
2013-11-13
προκήρυξη
€17.886,20
13PROC001715549
7. ΚΟΤΟΠΟΥΛΑ
2013-10-22
προκήρυξη
€47.993,40
13PROC001677382
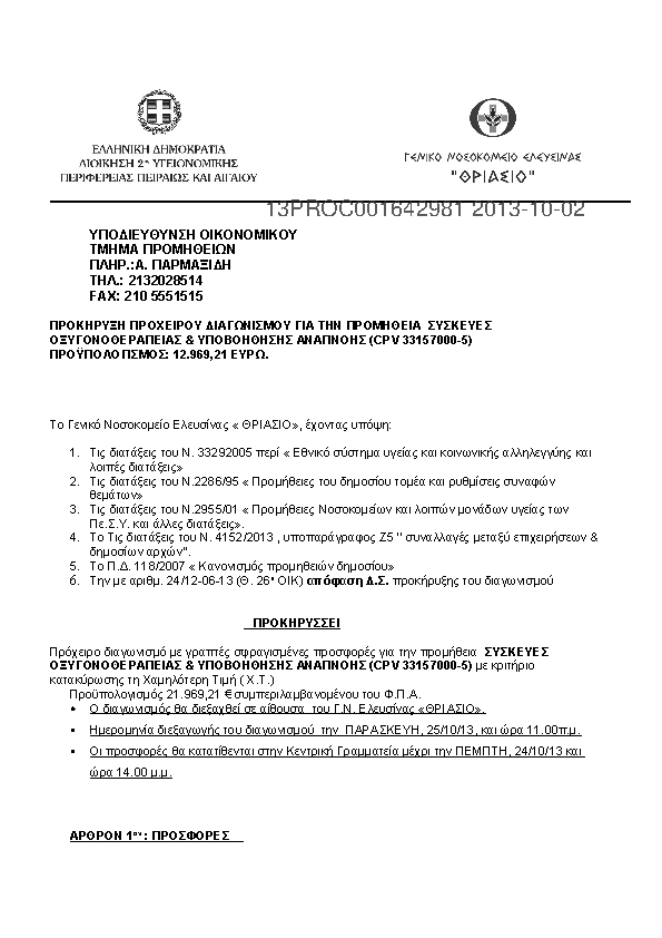
8. ΣΥΣΚΕΥΕΣ ΟΞΥΓΟΝΟΘΕΡΑΠΕΙΑΣ & ΥΠΟΒΟΗΘΗΣΗΣ ΑΝΑΠΝΟΗΣ
2013-10-02
προκήρυξη
€10.544,00
13PROC001642981
9. ΜΕΛΑΝΟΤΑΙΝΙΕΣ
2013-10-16
προκήρυξη
€16.779,30
13PROC001666937
10. ΟΙΚΟΔΟΜΙΚΟ ΥΛΙΚΟ
2013-10-23
προκήρυξη
€2.177,13
13PROC001681388
Περισσότερα αποτελέσματα
Επιστροφή στην κορυφή
Άλλα σχετικά με "Προϋπολογισμός"
Δι@ύγεια
6.761.343
Ελληνική Νομοθε...
19.187
Προκηρύξεις και...
187
Πρακτικά της Βο...
1.942
Αναζήτηση στο ΚΗΜΔΗΣ
Αναζήτηση
Έτος από
2025
2024
2023
2022
2021
2020
2019
2018
2017
2016
2015
2014
2013
2012
2011
2010
Εώς
2025
2024
2023
2022
2021
2020
2019
2018
2017
2016
2015
2014
2013
2012
2011
2010
Οργανισμός
Τύπος
Σύμβαση
Προκήρυξη
Αναζήτηση
Οργανισμοί
ΝΟΜ.ΓΕΝ. ΝΟΣΟΚΟΜΕΙΟ ΕΛ...
187
Όλοι οι Οργανισμοί
Έτη
2015
24
2014
92
2013
71
Τα δεδομένα από το Κεντρικό Ηλεκτρονικό Μητρώο Δημοσίων Συμβάσεων (ΚΗΜΔΗΣ) ανακτώνται από τους δημιουργούς του εργαλείου DEiXTo καθώς το ΚΗΜΔΗΣ δεν παρέχει ανοικτά δεδομένα. Για περισσότερες πληροφορίες:
deixto.com