Toggle navigation
Δι@ύγεια
Ελληνική Νομοθεσία (Φ.Ε.Κ.)
Προκηρύξεις και Προμήθειες
Πρακτικά της Βουλής
Ανάλυση
GR
EN
Tweet
Σύνολο
167
Διάταξη ανά
Ημερομηνία
Σχετικότητα
Επιπλέον επιλογές
Αναζήτηση σε προκηρύξεις και συμβάσεις για:
ΓΕΩΡΓΙΟΣ
1. ΕΞΟΙΚΟΝΟΜΗΣΗ ΕΝΕΡΓΕΙΑΣ ΣΤΟ ΔΗΜΟΤΙΚΟ ΦΩΤΙΣΜΟ ΔΗΜΟΣΙΩΝ ΧΩΡΩΝ ΜΕ ΧΡΗΣΗ ΕΝΕΡΓΕΙΑΚΩΝ ΛΑΜΠΤΗΡΩΝ (LED)
2013-11-14
προκήρυξη
€59.500,00
13PROC001716951
2. Σύμβαση παροχής υπηρεσιών τεχνικού ασφαλείας
2013-11-26
σύμβαση
€1.626,02
13SYMV001740223
3. Τοπογραφική μελέτη για το έργο: «Έργα σταθεροποίησης πρανών Δήμου Μουζακίου »
2013-11-18
σύμβαση
€7.200,00
13SYMV001721748
4. Τοπογραφική μελέτη για το έργο: «Αμμοληψία ποταμού Παμίσου στη θέση παλιά σφαγεία Μουζακίου »
2013-11-18
σύμβαση
€2.032,52
13SYMV001722676
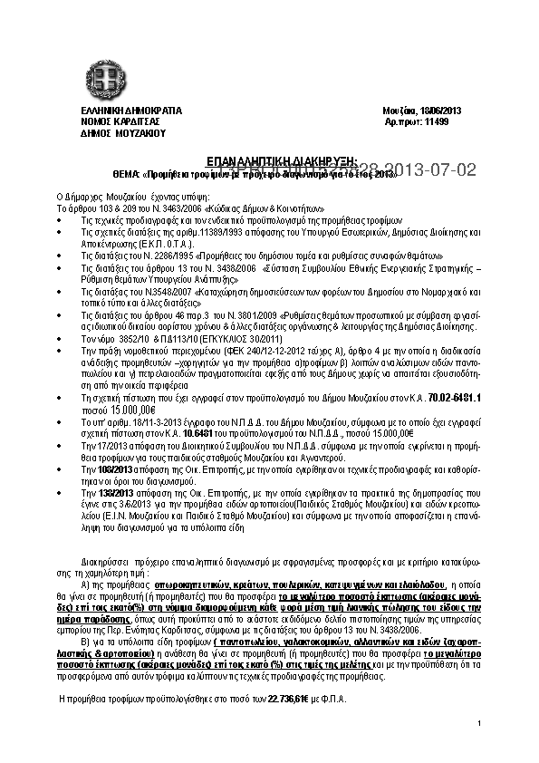
5. ΕΠΑΝΑΛΗΠΤΙΚΗ ΔΙΑΚΗΡΥΞΗ ΠΡΟΜΗΘΕΙΑΣ ΤΡΟΦΙΜΩΝ
2013-07-02
προκήρυξη
€13.274,30
13PROC001525828
6. Προμήθεια τροφίμων
2013-05-28
προκήρυξη
€13.274,30
13PROC001357402
7. Στατική μελέτη για το έργο: «Κατασκευή στεγάστρου στο χώρο της λαικής αγοράς Μουζακίου»
2013-08-06
σύμβαση
€1.000,00
13SYMV001572680
8. Κατασκευή αποχετευτικού δικτύου Δήμου
2014-01-20
σύμβαση
€41.829,30
14SYMV001832234
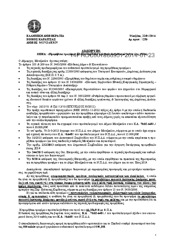
9. ΕΠΑΝΑΛΗΠΤΙΚΗ ΔΙΑΚΗΡΥΞΗ ΠΡΟΜΗΘΕΙΑΣ ΤΡΟΦΙΜΩΝ ΕΤΟΥΣ 2014
2014-01-23
προκήρυξη
€39.253,90
14PROC001836951
10. ΚΑΤΑΣΚΕΥΗ ΑΠΟΧΕΤΕΥΣΕΩΝ ΣΤΗΝ Τ.Κ. ΜΑΓΟΥΛΑΣ
2014-03-11
σύμβαση
€9.756,10
14SYMV001914498
Περισσότερα αποτελέσματα
Επιστροφή στην κορυφή
Άλλα σχετικά με "ΓΕΩΡΓΙΟΣ"
Δι@ύγεια
2.342.805
Ελληνική Νομοθε...
158.301
Προκηρύξεις και...
167
Πρακτικά της Βο...
2.889
Αναζήτηση στο ΚΗΜΔΗΣ
Αναζήτηση
Έτος από
2025
2024
2023
2022
2021
2020
2019
2018
2017
2016
2015
2014
2013
2012
2011
2010
Εώς
2025
2024
2023
2022
2021
2020
2019
2018
2017
2016
2015
2014
2013
2012
2011
2010
Οργανισμός
Τύπος
Σύμβαση
Προκήρυξη
Αναζήτηση
Οργανισμοί
Δήμος Μουζακίου
167
Όλοι οι Οργανισμοί
Έτη
2015
6
2014
92
2013
69
Τα δεδομένα από το Κεντρικό Ηλεκτρονικό Μητρώο Δημοσίων Συμβάσεων (ΚΗΜΔΗΣ) ανακτώνται από τους δημιουργούς του εργαλείου DEiXTo καθώς το ΚΗΜΔΗΣ δεν παρέχει ανοικτά δεδομένα. Για περισσότερες πληροφορίες:
deixto.com