Toggle navigation
Δι@ύγεια
Ελληνική Νομοθεσία (Φ.Ε.Κ.)
Προκηρύξεις και Προμήθειες
Πρακτικά της Βουλής
Ανάλυση
GR
EN
Tweet
Σύνολο
199
Διάταξη ανά
Ημερομηνία
Σχετικότητα
Επιπλέον επιλογές
Αναζήτηση σε προκηρύξεις και συμβάσεις για:
'Εγκριση δαπάνης για τις
1. ΠΡΟΜΗΘΕΙΑ ΕΛΑΣΤΙΚΩΝ
2013-06-03
σύμβαση
€3.699,16
13SYMV001491409
2. Παροχή υπηρεσιών Συμβούλου Υποστήριξης του έργου: Intouract (Integrated Tourism Action Plans for SE)
2013-05-31
σύμβαση
€77.235,80
13SYMV001489006
3. «Παροχή υπηρεσιών Συμβούλου Υποστήριξης του Έργου: Status (Strategic Territorial Agengdas for “smal
2013-05-31
σύμβαση
€178.646,00
13SYMV001488880
4. ΜΕΛΕΤΗ «ΑΡΔΕΥΤΙΚΟ ΔΙΚΤΥΟ ΑΓΡΟΚΤΗΜΑΤΩΝ ΠΟΛΥΣΤΥΛΟΥ – ΔΑΤΟΥ»
2013-05-30
σύμβαση
€13.721,60
13SYMV001487940
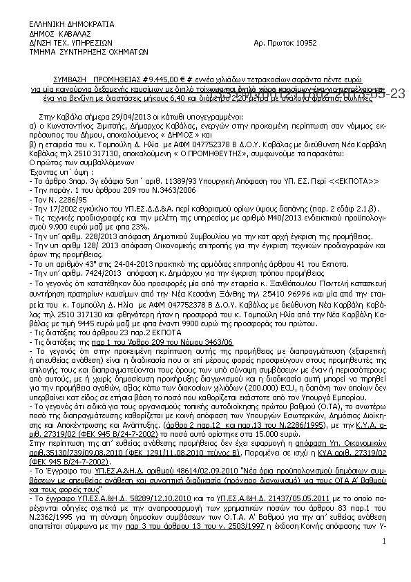
5. ΠΡΟΜΗΘΕΙΑ ΔΕΞΑΜΕΝΗΣ ΚΑΥΣΙΜΩΝ
2013-05-23
σύμβαση
€7.678,86
13SYMV001211802
6. ΕΚΤΕΛΕΣΗ ΕΡΓΑΣΙΩΝ ΕΠΙΣΚΕΥΩΝ ΕΝ ΓΕΝΕΙ ΟΧΗΜΑΤΩΝ ΑΥΤΟΚΙΝΗΤΩΝ ΚΙ ΜΗΧΑΝΗΜΑΤΩΝ ΤΟΥ ΔΗΜΟΥ ΣΕ ΕΞ ΣΥΝΕΡΓΕΙΑ
2013-05-27
σύμβαση
€39.837,40
13SYMV001331452
7. Σύμβαση παροχής υπηρεσιών για την επισκευής και συντήρησης Δικτύων δεδομένων και Διαδικτύου Δήμου
2013-05-27
σύμβαση
€12.195,10
13SYMV001310452
8. Σύμβαση παροχής υπηρεσιών για την υλοποίηση της Δ φάσης ψηφιοποίησης πράξεων Ληξιαρχείου του Δήμου
2013-05-27
σύμβαση
€12.113,80
13SYMV001307102
9. Σύμβαση παροχής υπηρεσιών για την επισκευή και συντήρηση προσωπικών Η/Υ και περιφερειακού εξοπλισμού
2013-05-27
σύμβαση
€12.195,10
13SYMV001306302
10. Ανακαίνιση 4ου Γυμνασίου και Πειραματικού Γυμνασίου Καβάλας
2013-05-21
σύμβαση
€685.927,00
13SYMV001060652
Περισσότερα αποτελέσματα
Επιστροφή στην κορυφή
Άλλα σχετικά με "'Εγκριση δαπάνης για τις"
Δι@ύγεια
5.618.957
Ελληνική Νομοθε...
23.865
Προκηρύξεις και...
199
Πρακτικά της Βο...
1.230
Αναζήτηση στο ΚΗΜΔΗΣ
Αναζήτηση
Έτος από
2025
2024
2023
2022
2021
2020
2019
2018
2017
2016
2015
2014
2013
2012
2011
2010
Εώς
2025
2024
2023
2022
2021
2020
2019
2018
2017
2016
2015
2014
2013
2012
2011
2010
Οργανισμός
Τύπος
Σύμβαση
Προκήρυξη
Αναζήτηση
Οργανισμοί
Δήμος Καβάλας
199
Όλοι οι Οργανισμοί
Έτη
2015
13
2014
87
2013
99
Τα δεδομένα από το Κεντρικό Ηλεκτρονικό Μητρώο Δημοσίων Συμβάσεων (ΚΗΜΔΗΣ) ανακτώνται από τους δημιουργούς του εργαλείου DEiXTo καθώς το ΚΗΜΔΗΣ δεν παρέχει ανοικτά δεδομένα. Για περισσότερες πληροφορίες:
deixto.com