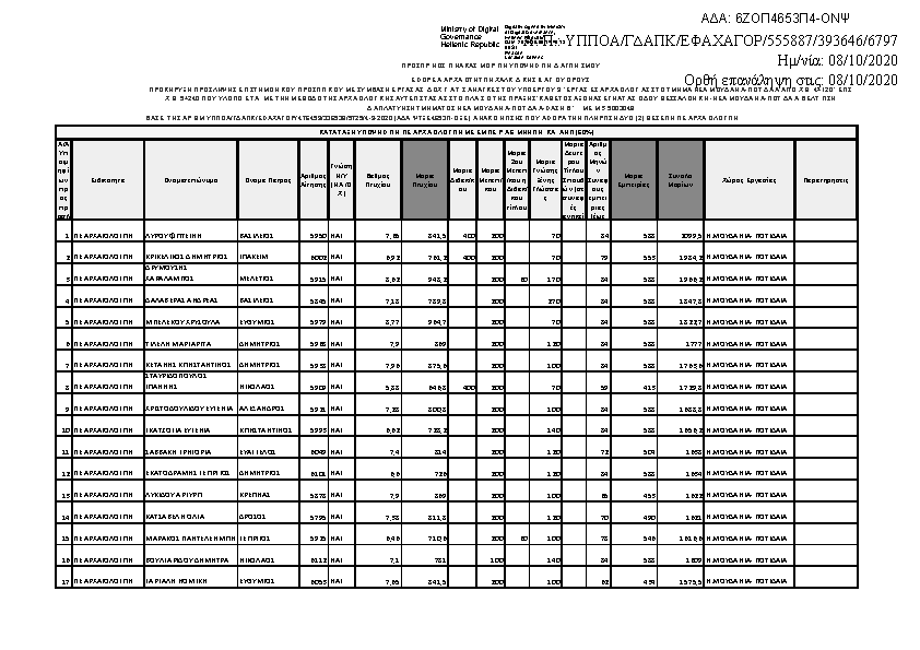
ΠΙΝΑΚΑΣ ΜΟΡΙΩΝΑΔΑ: 6ΖΟΠ4653Π4-ΟΝΨ

Πρώτη σελίδα του εγγράφου

Η απόφαση με ΑΔΑ 6ΖΟΠ4653Π4-ΟΝΨ δημοσιεύθηκε από την υπηρεσία » ΕΦΟΡΕΙΑ ΑΡΧΑΙΟΤΗΤΩΝ ΧΑΛΚΙΔΙΚΗΣ ΚΑΙ ΑΓΙΟΥ ΟΡΟΥΣ στις 2020-10-08. Ο τύπος της απόφασης είναι Άγνωστος και την υπέγραψε ο/η .

ΠΡΑΞΗ
Επιστροφή στην προηγούμενη σελίδα