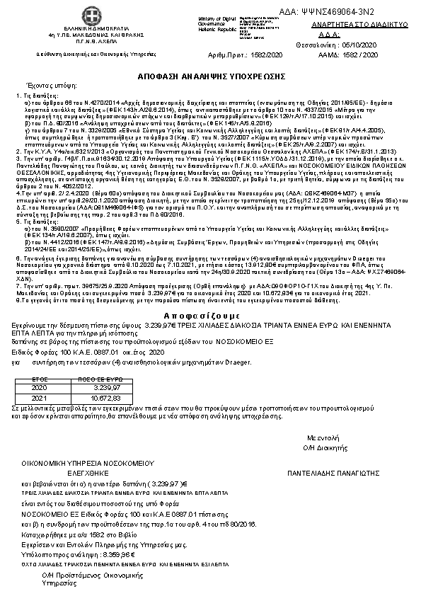
ΑΠΟΦΑΣΗ ΑΝΑΛΗΨΗΣ ΔΕΣΜΕΥΣΗΣ ΠΙΣΤΩΣΗΣ ΚΑΕ 0887.01 Φ100ΑΔΑ: ΨΨΝΣ469064-3Ν2

Πρώτη σελίδα του εγγράφου

Η απόφαση με ΑΔΑ ΨΨΝΣ469064-3Ν2 δημοσιεύθηκε από την υπηρεσία ΠΑΝΕΠΙΣΤΗΜΙΑΚΟ ΓΕΝΙΚΟ ΝΟΣΟΚΟΜΕΙΟ ΘΕΣΣΑΛΟΝΙΚΗΣ ΑΧΕΠΑ » ΔΙΟΙΚΗΣΗ στις 2020-10-05. Ο τύπος της απόφασης είναι Άγνωστος και την υπέγραψε ο/η .

Τακτικός Προϋπολογισμός
1582
ΠΡΑΞΗ
Επιστροφή στην προηγούμενη σελίδα