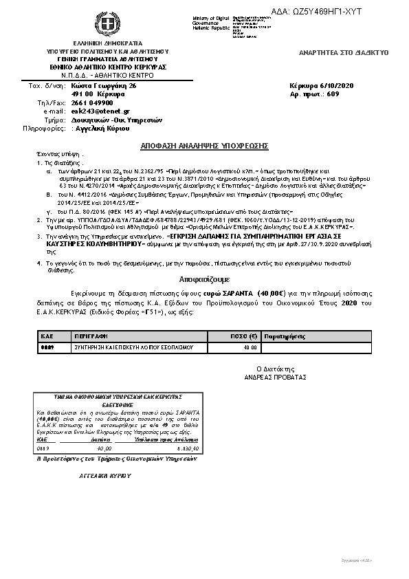
ΑΝΑΛΗΨΗ ΥΠΟΧΡΕΩΣΗΣΑΔΑ: ΩΖ5Υ469ΗΓ1-ΧΥΤ

Πρώτη σελίδα του εγγράφου

Η απόφαση με ΑΔΑ ΩΖ5Υ469ΗΓ1-ΧΥΤ δημοσιεύθηκε από την υπηρεσία ΕΘΝΙΚΟ ΑΘΛΗΤΙΚΟ ΚΕΝΤΡΟ ΚΕΡΚΥΡΑΣ » ΕΘΝΙΚΟ ΑΘΛΗΤΙΚΟ ΚΕΝΤΡΟ ΚΕΡΚΥΡΑΣ ΤΜΗΜΑ ΔΙΟΙΚΗΤΙΚΩΝ ΟΙΚΟΝΟΜΙΚΩΝ ΥΠΗΡΕΣΙΩΝ στις 2020-10-06. Ο τύπος της απόφασης είναι Άγνωστος και την υπέγραψε ο/η an unknown person.

Τακτικός Προϋπολογισμός
49
ΠΡΑΞΗ
Επιστροφή στην προηγούμενη σελίδα