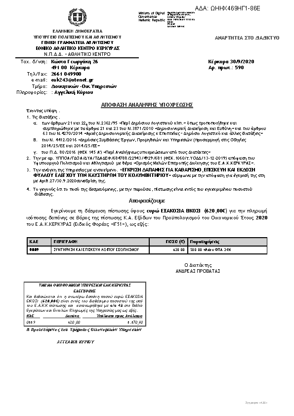
ΑΝΑΛΗΨΗ ΥΠΟΧΡΕΩΣΗΣΑΔΑ: ΩΗΗΧ469ΗΓ1-86Ε

Πρώτη σελίδα του εγγράφου

Η απόφαση με ΑΔΑ ΩΗΗΧ469ΗΓ1-86Ε δημοσιεύθηκε από την υπηρεσία ΕΘΝΙΚΟ ΑΘΛΗΤΙΚΟ ΚΕΝΤΡΟ ΚΕΡΚΥΡΑΣ » ΕΘΝΙΚΟ ΑΘΛΗΤΙΚΟ ΚΕΝΤΡΟ ΚΕΡΚΥΡΑΣ ΤΜΗΜΑ ΔΙΟΙΚΗΤΙΚΩΝ ΟΙΚΟΝΟΜΙΚΩΝ ΥΠΗΡΕΣΙΩΝ στις 2020-09-30. Ο τύπος της απόφασης είναι Άγνωστος και την υπέγραψε ο/η an unknown person.

Τακτικός Προϋπολογισμός
48
ΠΡΑΞΗ
Επιστροφή στην προηγούμενη σελίδα