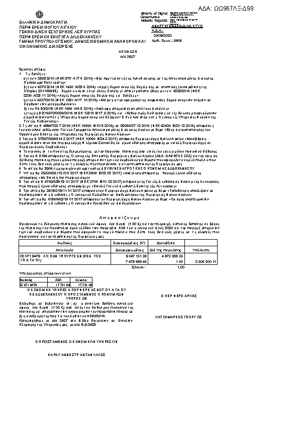
ΕΚΘΕΣΗ ΑΝΑΛΗΨΗ ΥΠΟΧΡΕΩΣΗΣ 8906ΑΔΑ: ΩΩ967ΛΞ-Δ98

Πρώτη σελίδα του εγγράφου

Η απόφαση με ΑΔΑ ΩΩ967ΛΞ-Δ98 δημοσιεύθηκε από την υπηρεσία Περιφέρεια Νοτίου Αιγαίου » ΤΜΗΜΑ ΛΟΓΙΣΤΙΚΗΣ ΔΙΑΧΕΙΡΙΣΗΣ ΜΕ ΕΔΡΑ ΤΗ ΡΟΔΟ στις 2020-09-30. Ο τύπος της απόφασης είναι Άγνωστος και την υπέγραψε ο/η an unknown person.

Τακτικός Προϋπολογισμός
3527
ΠΡΑΞΗ
Επιστροφή στην προηγούμενη σελίδα