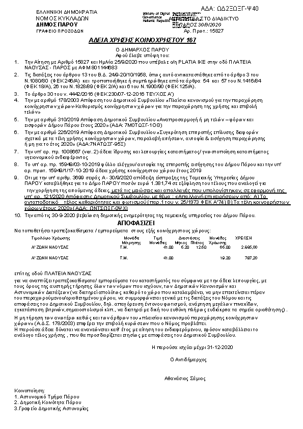
ΑΔΕΙΑ ΧΡΗΣΗΣ ΚΟΙΝΟΧΡΗΣΤΟΥ ΧΩΡΟΥ ΓΙΑ ΑΝΑΠΤΥΞΗ ΤΡΑΠΕΖΟΚΑΘΙΣΜΑΤΩΝ ΕΤΟΥΣ 2020 ΣΕ PLATIA IKEΑΔΑ: ΩΔ2ΞΩΞΓ-Ψ40

Πρώτη σελίδα του εγγράφου

Η απόφαση με ΑΔΑ ΩΔ2ΞΩΞΓ-Ψ40 δημοσιεύθηκε από την υπηρεσία Δήμος Πάρου » ΔΗΜΟΣ ΠΑΡΟΥ στις 2020-09-30. Ο τύπος της απόφασης είναι Άγνωστος και την υπέγραψε ο/η an unknown person.

ΑΔΕΙΑ ΧΡΗΣΗΣ ΚΟΙΝΟΧΡΗΣΤΟΥ ΧΩΡΟΥ ΕΤΟΥΣ...
ΠΡΑΞΗ
Επιστροφή στην προηγούμενη σελίδα