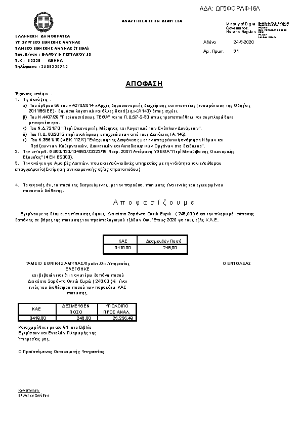
Αμοιβές λοιπών, που εκτελούν ειδικές υπηρεσίες με την ιδιότητα του ελεύθερου επαγγελματία(Εκτίμηση αντικειμενικής αξίας στρατοπέδου)ΑΔΑ: ΩΓ5ΦΟΡΛΦ-Ι6Λ

Πρώτη σελίδα του εγγράφου

Η απόφαση με ΑΔΑ ΩΓ5ΦΟΡΛΦ-Ι6Λ δημοσιεύθηκε από την υπηρεσία ΤΑΜΕΙΟ ΕΘΝΙΚΗΣ ΑΜΥΝΑΣ » ΓΕΝΙΚΟ ΕΠΙΤΕΛΕΙΟ ΣΤΡΑΤΟΥ/ΔΝΤΗΣ Γ΄ ΚΛΑΔΟΥ στις 2020-09-24. Ο τύπος της απόφασης είναι Άγνωστος και την υπέγραψε ο/η an unknown person.

Ίδια Έσοδα
91
ΠΡΑΞΗ
Επιστροφή στην προηγούμενη σελίδα