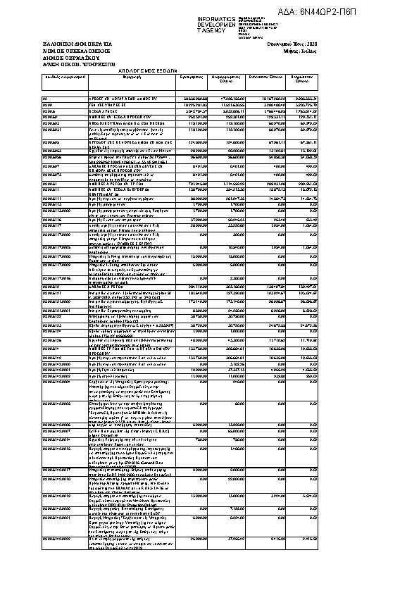
ΕΚΤΕΛΕΣΗ Π/Υ ΙΟΥΛΙΟΥ 2020ΑΔΑ: 6Ν44ΩΡ2-Π6Π

Πρώτη σελίδα του εγγράφου

Η απόφαση με ΑΔΑ 6Ν44ΩΡ2-Π6Π δημοσιεύθηκε από την υπηρεσία Δήμος Θερμαϊκού » ΓΡΑΦΕΙΟ ΛΟΓΙΣΤΗΡΙΟΥ, ΜΙΣΘΟΔΟΣΙΑΣ ΚΑΙ ΔΙΑΧΕΙΡΙΣΗΣ ΔΑΠΑΝΩΝ στις 2020-08-11. Ο τύπος της απόφασης είναι Άγνωστος και την υπέγραψε ο/η an unknown person.

Απολογισμός
ΜΗΝΑΣ ΙΟΥΛΙΟΣ
ΠΡΑΞΗ
Επιστροφή στην προηγούμενη σελίδα