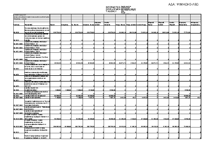
ΑΠΟΛΟΓΙΣΤΙΚΟΣ ΠΙΝΑΚΑΣ ΕΞΟΔΩΝ ΜΗΝΟΣ ΙΟΥΝΙΟΥ 2020ΑΔΑ: ΨΙΜΗΩΗ3-Λ9Ω

Πρώτη σελίδα του εγγράφου

Η απόφαση με ΑΔΑ ΨΙΜΗΩΗ3-Λ9Ω δημοσιεύθηκε από την υπηρεσία Δήμος Χαϊδαρίου » ΟΙΚΟΝΟΜΙΚΩΝ ΥΠΗΡΕΣΙΩΝ ΚΑΙ ΑΝΑΠΤΥΞΗΣ στις 2020-07-16. Ο τύπος της απόφασης είναι Άγνωστος και την υπέγραψε ο/η .

Απολογισμός
ΠΡΑΞΗ
Επιστροφή στην προηγούμενη σελίδα