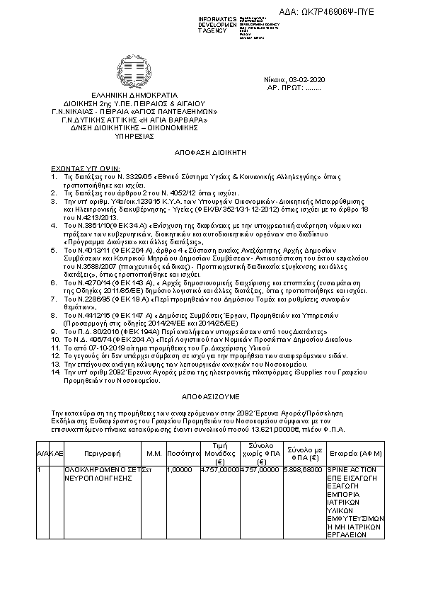
ΑΝΑΛΩΣΙΜΑ ΥΛΙΚΑ ΧΕΙΡ/ΟΥΑΔΑ: ΩΚ7Ρ46906Ψ-ΠΥΕ

Πρώτη σελίδα του εγγράφου

Η απόφαση με ΑΔΑ ΩΚ7Ρ46906Ψ-ΠΥΕ δημοσιεύθηκε από την υπηρεσία ΓΕΝΙΚΟ ΝΟΣΟΚΟΜΕΙΟ ΝΙΚΑΙΑΣ ΠΕΙΡΑΙΑ 'ΑΓΙΟΣ ΠΑΝΤΕΛΕΗΜΩΝ'-Γ.Ν.Δ.Α. 'Η ΑΓΙΑ ΒΑΡΒΑΡΑ' » ΔΙΟΙΚΗΣΗ στις 2020-06-03. Ο τύπος της απόφασης είναι Άγνωστος και την υπέγραψε ο/η an unknown person.

ΠΡΑΞΗ
Επιστροφή στην προηγούμενη σελίδα