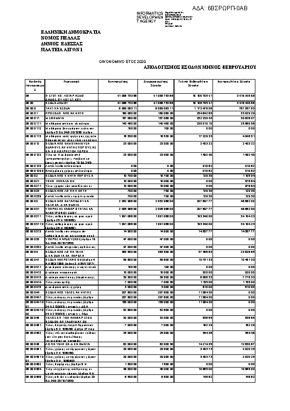
ΔΗΜΟΣΙΕΥΣΗ ΣΤΟΙΧΕΙΩΝ ΕΣΟΔΩΝ ΕΞΟΔΩΝ ΕΚΤΕΛΕΣΗΣ ΠΡΟΥΠΟΛΟΓΙΣΜΟΥ ΦΕΒ.2020ΑΔΑ: 6ΒΣΡΩΡΠ-0ΑΒ

Πρώτη σελίδα του εγγράφου

Η απόφαση με ΑΔΑ 6ΒΣΡΩΡΠ-0ΑΒ δημοσιεύθηκε από την υπηρεσία Δήμος Έδεσσας » ΔΙΕΥΘΥΝΣΗ ΟΙΚΟΝΟΜΙΚΩΝ & ΔΙΟΙΚΗΤΙΚΩΝ ΥΠΗΡΕΣΙΩΝ στις 2020-03-13. Ο τύπος της απόφασης είναι Άγνωστος και την υπέγραψε ο/η .

Ισολογισμός και Απολογισμός
ΠΡΑΞΗ
Επιστροφή στην προηγούμενη σελίδα