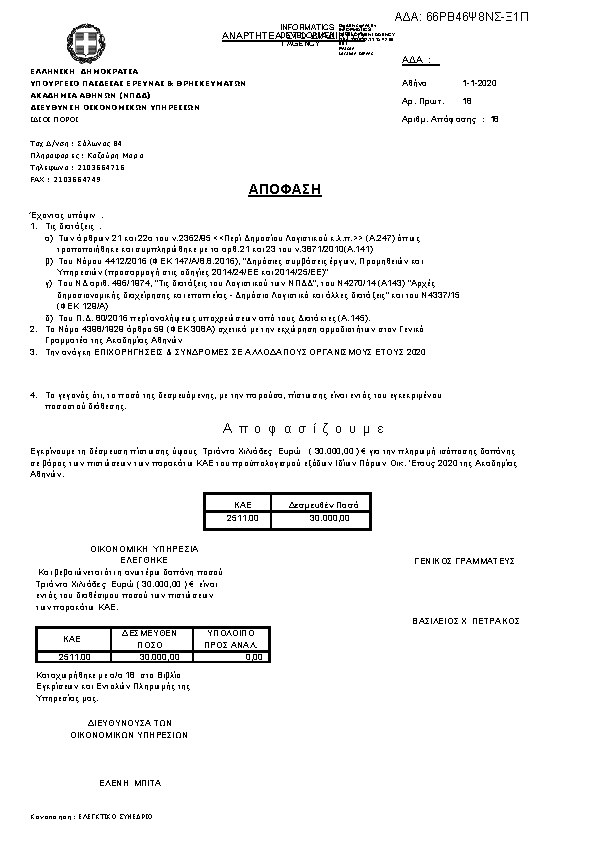
ΕΠΙΧΟΡΗΓΗΣΕΙΣ & ΣΥΝΔΡΟΜΕΣ ΣΕ ΑΛΛΟΔΑΠΟΥΣ ΟΡΓΑΝΙΣΜΟΥΣ ΕΤΟΥΣ 2020ΑΔΑ: 66ΡΒ46Ψ8ΝΣ-Ξ1Π

Πρώτη σελίδα του εγγράφου

Η απόφαση με ΑΔΑ 66ΡΒ46Ψ8ΝΣ-Ξ1Π δημοσιεύθηκε από την υπηρεσία ΑΚΑΔΗΜΙΑ ΑΘΗΝΩΝ » ΑΚΑΔΗΜΙΑ ΑΘΗΝΩΝ στις 2020-01-01. Ο τύπος της απόφασης είναι Άγνωστος και την υπέγραψε ο/η .

Ίδια Έσοδα
18
ΠΡΑΞΗ
Επιστροφή στην προηγούμενη σελίδα