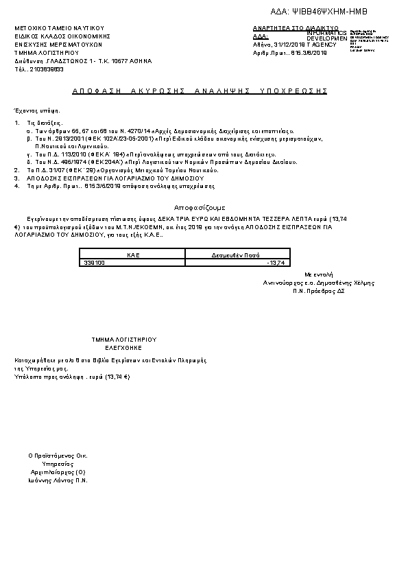
Α Π Ο Φ Α Σ Η Α Κ Υ Ρ Ω Σ Η Σ Α Ν Α Λ H Ψ Η Σ Υ Π Ο Χ Ρ Ε Ω Σ Η ΣΑΔΑ: ΨΙΒΒ46ΨΧΗΜ-ΗΜΒ

Πρώτη σελίδα του εγγράφου

Η απόφαση με ΑΔΑ ΨΙΒΒ46ΨΧΗΜ-ΗΜΒ δημοσιεύθηκε από την υπηρεσία ΜΕΤΟΧΙΚΟ ΤΑΜΕΙΟ ΝΑΥΤΙΚΟΥ » ΜΤΝ/ΕΙΔΙΚΟΣ ΚΛΑΔΟΣ ΟΙΚΟΝΟΜΙΚΗΣ ΕΝΙΣΧΥΣΗΣ ΜΕΡΙΜΑΤΟΥΧΩΝ ΜΕΤΟΧΙΚΟΥ ΤΑΜΕΙΟΥ ΝΑΥΤΙΚΟΥ στις 2019-12-31. Ο τύπος της απόφασης είναι Άγνωστος και την υπέγραψε ο/η an unknown person.

Ίδια Έσοδα
ΠΡΑΞΗ
Επιστροφή στην προηγούμενη σελίδα