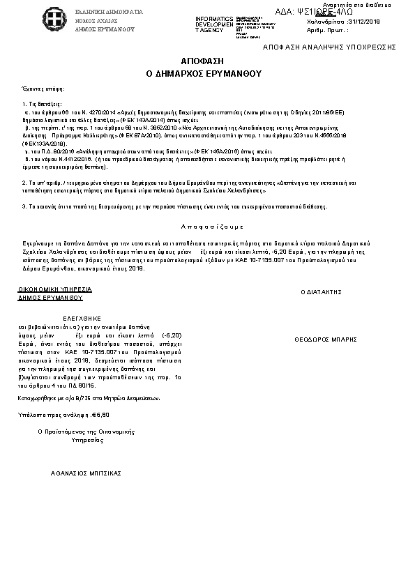
Αποδέσμευση. Δαπάνη για την κατασκευή και τοποθέτηση εσωτερικής πόρτας στο δημοτικό κτίριο παλαιού Δημοτικού Σχολείου ΧαλανδρίτσαςΑΔΑ: ΨΣ1ΙΩΡΕ-4ΛΩ

Πρώτη σελίδα του εγγράφου

Η απόφαση με ΑΔΑ ΨΣ1ΙΩΡΕ-4ΛΩ δημοσιεύθηκε από την υπηρεσία Δήμος Ερυμάνθου » ΤΜΗΜΑ ΔΙΟΙΚΗΤΙΚΩΝ ΥΠΗΡΕΣΙΩΝ στις 2019-12-31. Ο τύπος της απόφασης είναι Άγνωστος και την υπέγραψε ο/η .

Τακτικός Προϋπολογισμός
Β/725
ΠΡΑΞΗ
Επιστροφή στην προηγούμενη σελίδα