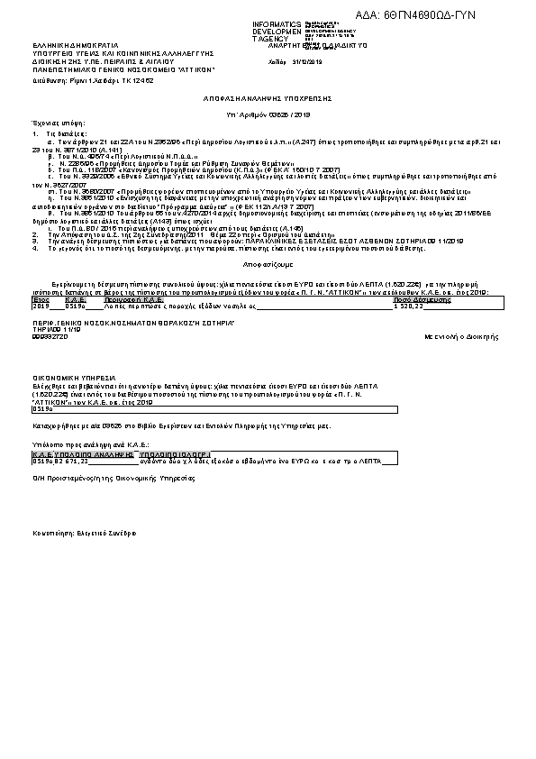
ΑΠΟΦΑΣΗ ΑΝΑΛΗΨΗΣ ΥΠΟΧΡΕΩΣΗΣ 03525 ΚΑΕ 0519 ΠΟΣΟΥ 1.520,22ΑΔΑ: 6ΘΓΝ4690ΩΔ-ΓΥΝ

Πρώτη σελίδα του εγγράφου

Η απόφαση με ΑΔΑ 6ΘΓΝ4690ΩΔ-ΓΥΝ δημοσιεύθηκε από την υπηρεσία ΠΑΝΕΠΙΣΤΗΜΙΑΚΟ ΓΕΝ. ΝΟΣΟΚ. 'ΑΤΤΙΚΟΝ' » ΔΙΟΙΚΗΤΙΚΗ ΟΙΚΟΝΟΜΙΚΗ ΥΠΗΡΕΣΙΑ στις 2019-12-31. Ο τύπος της απόφασης είναι Άγνωστος και την υπέγραψε ο/η an unknown person.

Τακτικός Προϋπολογισμός
03525
ΠΡΑΞΗ
Επιστροφή στην προηγούμενη σελίδα