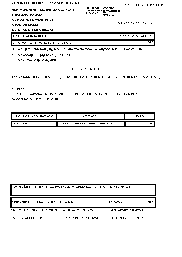
ΑΜΟΙΒΗ ΓΙΑ ΥΠΗΡΕΣΙΕΣ ΤΕΧΝΙΚΟΥ ΑΣΦΑΛΕΙΑΣ Δ΄ΤΡΙΜΗΝΟΥ 2019ΑΔΑ: Ω8ΠΦ469ΗΚΣ-ΜΞΚ

Πρώτη σελίδα του εγγράφου

Η απόφαση με ΑΔΑ Ω8ΠΦ469ΗΚΣ-ΜΞΚ δημοσιεύθηκε από την υπηρεσία ΚΕΝΤΡΙΚΗ ΑΓΟΡΑ ΘΕΣ/ΝΙΚΗΣ στις 2019-12-31. Ο τύπος της απόφασης είναι Άγνωστος και την υπέγραψε ο/η an unknown person.

ΠΡΑΞΗ
Επιστροφή στην προηγούμενη σελίδα