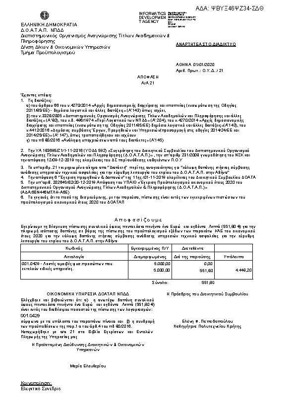
ΕΚΘΕΣΗ ΑΝΑΛΗΨΗ ΥΠΟΧΡΕΩΣΗΣ 21ΑΔΑ: ΨΒΥΞ46ΨΖ34-ΣΔΘ

Πρώτη σελίδα του εγγράφου

Η απόφαση με ΑΔΑ ΨΒΥΞ46ΨΖ34-ΣΔΘ δημοσιεύθηκε από την υπηρεσία ΔΙΕΠΙΣΤΗΜΟΝΙΚΟΣ ΟΡΓΑΝΙΣΜΟΣ ΑΝΑΓΝΩΡΙΣΗΣ ΤΙΤΛΩΝ ΑΚΑΔΗΜΑΙΚΩΝ ΚΑΙ ΠΛΗΡΟΦΟΡΗΣΗΣ (Δ.Ο.Α.Τ.Α.Π.) » ΔΙΕΥΘΥΝΣΗ ΔΙΟΙΚΗΤΙΚΩΝ ΚΑΙ ΟΙΚΟΝΟΜΙΚΩΝ ΥΠΗΡΕΣΙΩΝ - ΤΜΗΜΑ ΠΡΟΥΠΟΛΟΓΙΜΟΥ στις 2020-01-01. Ο τύπος της απόφασης είναι Άγνωστος και την υπέγραψε ο/η an unknown person.

Τακτικός Προϋπολογισμός
21
ΠΡΑΞΗ
Επιστροφή στην προηγούμενη σελίδα