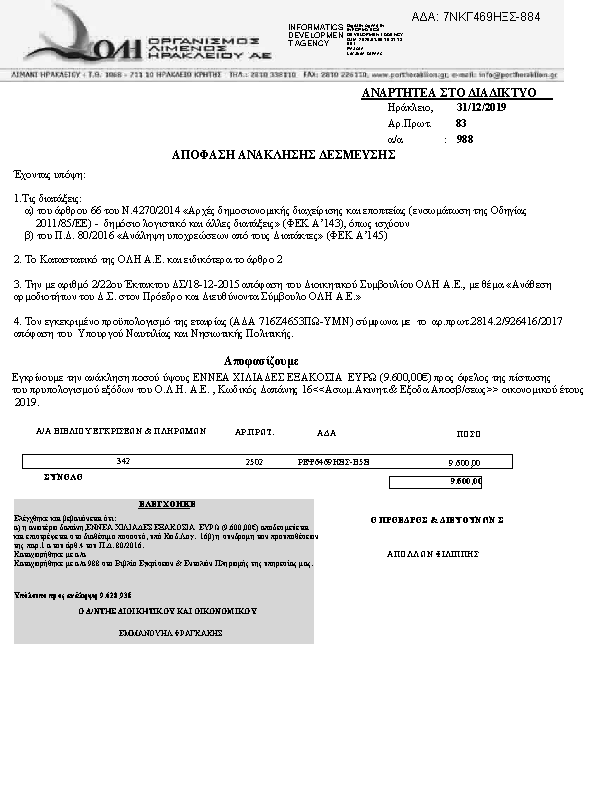
ΑΝΑΚΛΗΣΗ ΑΝΑΛΗΨΗ ΥΠΟΧΡΕΩΣΗΣ ΚΩΔΙΚΟΥ 16 ΟΙΚΟΝΟΜΙΚΟΥ ΕΤΟΥΣ 2019ΑΔΑ: 7ΝΚΓ469ΗΞΣ-884

Πρώτη σελίδα του εγγράφου

Η απόφαση με ΑΔΑ 7ΝΚΓ469ΗΞΣ-884 δημοσιεύθηκε από την υπηρεσία ΟΡΓΑΝΙΣΜΟΣ ΛΙΜΕΝΟΣ ΗΡΑΚΛΕΙΟΥ Α.Ε » ΔΙΕΥΘΥΝΣΗ ΟΙΚΟΝΟΜΙΚΩΝ-ΔΙΟΙΚΗΤΙΚΩΝ ΥΠΗΡΕΣΙΩΝ στις 2019-12-31. Ο τύπος της απόφασης είναι Άγνωστος και την υπέγραψε ο/η an unknown person.

Τακτικός Προϋπολογισμός
988
ΠΡΑΞΗ
Επιστροφή στην προηγούμενη σελίδα