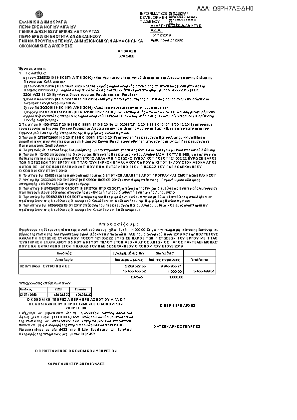
ΕΚΘΕΣΗ ΑΝΑΛΗΨΗ ΥΠΟΧΡΕΩΣΗΣ 12493ΑΔΑ: Ω8ΡΗ7ΛΞ-ΔΗ0

Πρώτη σελίδα του εγγράφου

Η απόφαση με ΑΔΑ Ω8ΡΗ7ΛΞ-ΔΗ0 δημοσιεύθηκε από την υπηρεσία Περιφέρεια Νοτίου Αιγαίου » ΤΜΗΜΑ ΛΟΓΙΣΤΙΚΗΣ ΔΙΑΧΕΙΡΙΣΗΣ ΜΕ ΕΔΡΑ ΤΗ ΡΟΔΟ στις 2019-12-31. Ο τύπος της απόφασης είναι Άγνωστος και την υπέγραψε ο/η an unknown person.

Τακτικός Προϋπολογισμός
5438
ΠΡΑΞΗ
Επιστροφή στην προηγούμενη σελίδα