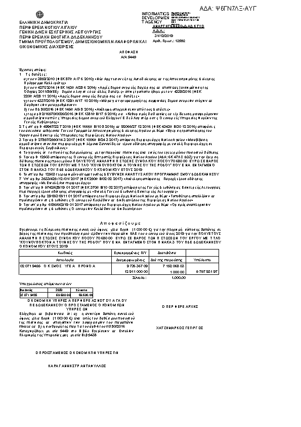
ΕΚΘΕΣΗ ΑΝΑΛΗΨΗ ΥΠΟΧΡΕΩΣΗΣ 12503ΑΔΑ: Ψ6ΓΝ7ΛΞ-ΑΥΓ

Πρώτη σελίδα του εγγράφου

Η απόφαση με ΑΔΑ Ψ6ΓΝ7ΛΞ-ΑΥΓ δημοσιεύθηκε από την υπηρεσία Περιφέρεια Νοτίου Αιγαίου » ΤΜΗΜΑ ΛΟΓΙΣΤΙΚΗΣ ΔΙΑΧΕΙΡΙΣΗΣ ΜΕ ΕΔΡΑ ΤΗ ΡΟΔΟ στις 2019-12-31. Ο τύπος της απόφασης είναι Άγνωστος και την υπέγραψε ο/η an unknown person.

Τακτικός Προϋπολογισμός
5449
ΠΡΑΞΗ
Επιστροφή στην προηγούμενη σελίδα