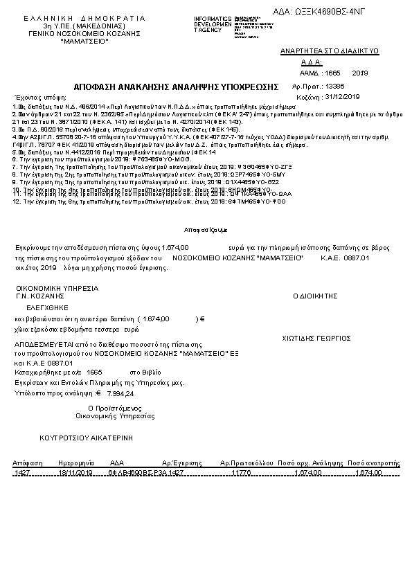
ΑΠΟΦΑΣΗ ΑΝΑΚΛΗΣΗΣ ΑΝΑΛΗΨΗΣ ΥΠΟΧΡΕΩΣΗΣΑΔΑ: ΩΞΞΚ4690ΒΣ-4ΝΓ

Πρώτη σελίδα του εγγράφου

Η απόφαση με ΑΔΑ ΩΞΞΚ4690ΒΣ-4ΝΓ δημοσιεύθηκε από την υπηρεσία ΝΟΜ.ΓΕΝ. ΝΟΣΟΚΟΜΕΙΟ ΚΟΖΑΝΗΣ 'ΜΑΜΑΤΣΕΙΟ' » OIKONOMIKO στις 2019-12-31. Ο τύπος της απόφασης είναι Άγνωστος και την υπέγραψε ο/η an unknown person.

Τακτικός Προϋπολογισμός
1665
ΠΡΑΞΗ
Επιστροφή στην προηγούμενη σελίδα