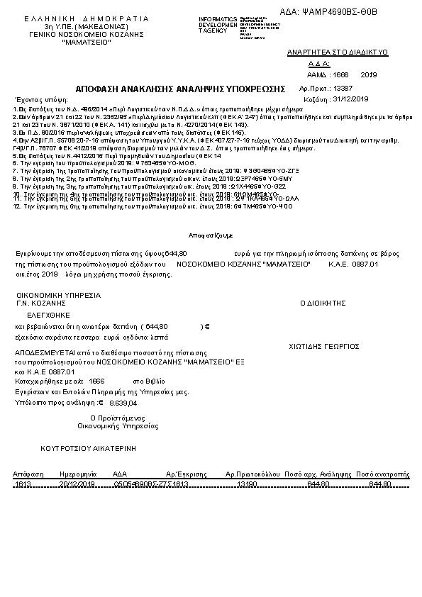
ΑΠΟΦΑΣΗ ΑΝΑΚΛΗΣΗΣ ΑΝΑΛΗΨΗΣ ΥΠΟΧΡΕΩΣΗΣΑΔΑ: ΨΑΜΡ4690ΒΣ-Θ0Β

Πρώτη σελίδα του εγγράφου

Η απόφαση με ΑΔΑ ΨΑΜΡ4690ΒΣ-Θ0Β δημοσιεύθηκε από την υπηρεσία ΝΟΜ.ΓΕΝ. ΝΟΣΟΚΟΜΕΙΟ ΚΟΖΑΝΗΣ 'ΜΑΜΑΤΣΕΙΟ' » OIKONOMIKO στις 2019-12-31. Ο τύπος της απόφασης είναι Άγνωστος και την υπέγραψε ο/η an unknown person.

Τακτικός Προϋπολογισμός
1666
ΠΡΑΞΗ
Επιστροφή στην προηγούμενη σελίδα