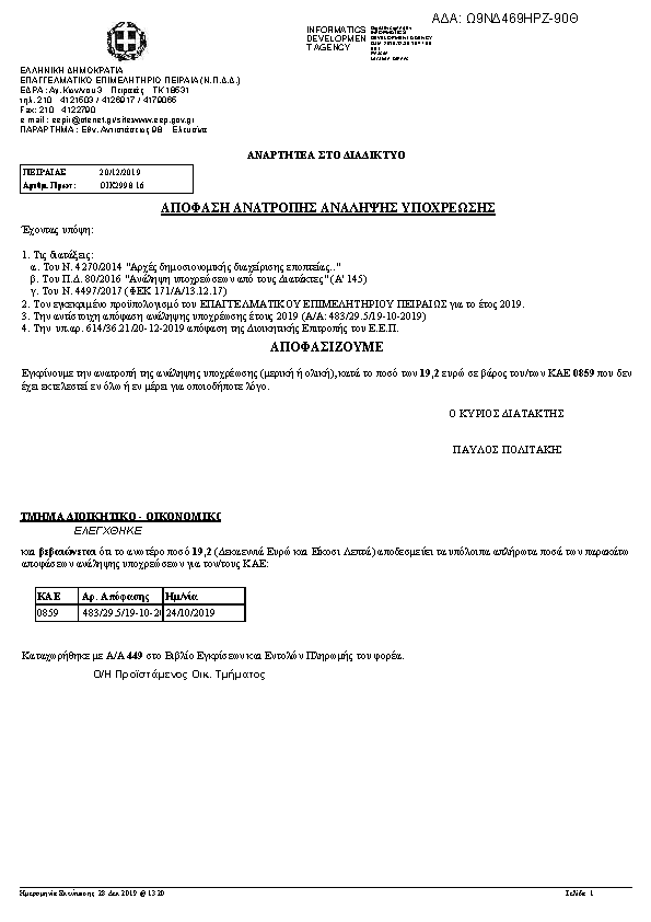
ΑΝΑΤΡΟΠΗ ΤΗΣ ΥΠ.ΑΡ.483/29.5/19-10-2019 ΑΠΟΦΑΣΗΣ ΑΝΑΛΗΨΗΣ ΥΠΟΧΡΕΩΣΗΣ ΓΙΑ ΤΟΝ ΚΑΕ 0859ΑΔΑ: Ω9ΝΔ469ΗΡΖ-90Θ

Πρώτη σελίδα του εγγράφου

Η απόφαση με ΑΔΑ Ω9ΝΔ469ΗΡΖ-90Θ δημοσιεύθηκε από την υπηρεσία ΕΠΑΓΓΕΛΜΑΤΙΚΟ ΕΠΙΜΕΛΗΤΗΡΙΟ ΠΕΙΡΑΙΑ » ΕΠΑΓΓΕΛΜΑΤΙΚΟ ΕΠΙΜΕΛΗΤΗΡΙΟ / ΔΙΟΙΚΗΤΙΚΗ ΕΠΙΤΡΟΠΗ στις 2019-12-30. Ο τύπος της απόφασης είναι Άγνωστος και την υπέγραψε ο/η an unknown person.

Ίδια Έσοδα
449
ΠΡΑΞΗ
Επιστροφή στην προηγούμενη σελίδα