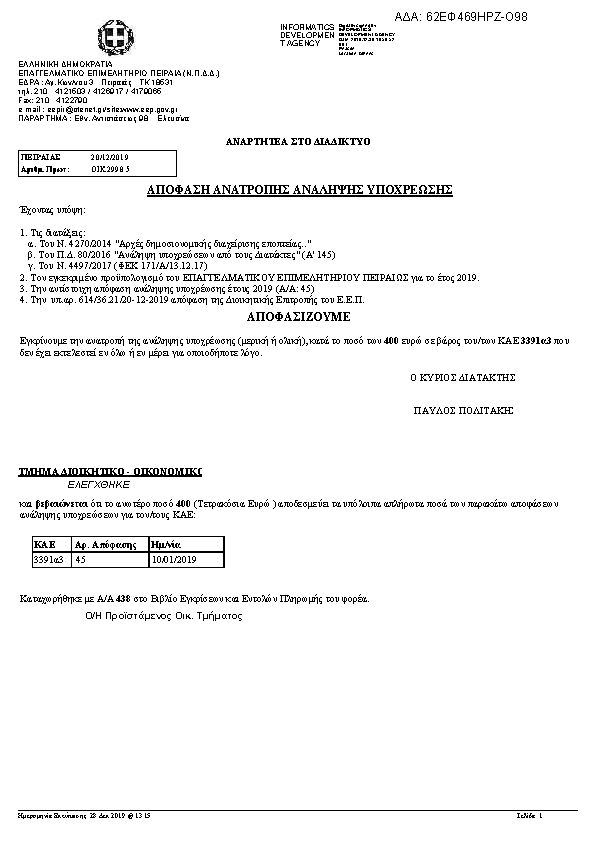
ΑΝΑΤΡΟΠΗ ΤΗΣ ΥΠ.ΑΡ.48 ΑΠΟΦΑΣΗΣ ΑΝΑΛΗΨΗΣ ΥΠΟΧΡΕΩΣΗΣ ΓΙΑ ΤΟΝ ΚΑΕ 3391Β4ΑΔΑ: 62ΕΦ469ΗΡΖ-Ο98

Πρώτη σελίδα του εγγράφου

Η απόφαση με ΑΔΑ 62ΕΦ469ΗΡΖ-Ο98 δημοσιεύθηκε από την υπηρεσία ΕΠΑΓΓΕΛΜΑΤΙΚΟ ΕΠΙΜΕΛΗΤΗΡΙΟ ΠΕΙΡΑΙΑ » ΕΠΑΓΓΕΛΜΑΤΙΚΟ ΕΠΙΜΕΛΗΤΗΡΙΟ / ΔΙΟΙΚΗΤΙΚΗ ΕΠΙΤΡΟΠΗ στις 2019-12-30. Ο τύπος της απόφασης είναι Άγνωστος και την υπέγραψε ο/η an unknown person.

Ίδια Έσοδα
439
ΠΡΑΞΗ
Επιστροφή στην προηγούμενη σελίδα