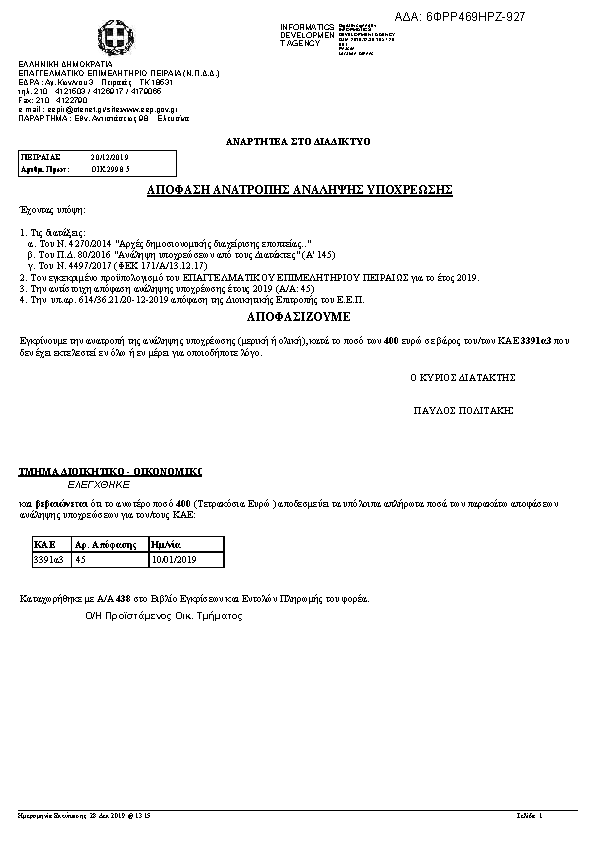
ΑΝΑΤΡΟΠΗ ΤΗΣ ΥΠ.ΑΡ.45 ΑΠΟΦΑΣΗΣ ΑΝΑΛΗΨΗΣ ΥΠΟΧΡΕΩΣΗΣ ΓΙΑ ΤΟΝ ΚΑΕ 3391Α3ΑΔΑ: 6ΦΡΡ469ΗΡΖ-927

Πρώτη σελίδα του εγγράφου

Η απόφαση με ΑΔΑ 6ΦΡΡ469ΗΡΖ-927 δημοσιεύθηκε από την υπηρεσία ΕΠΑΓΓΕΛΜΑΤΙΚΟ ΕΠΙΜΕΛΗΤΗΡΙΟ ΠΕΙΡΑΙΑ » ΕΠΑΓΓΕΛΜΑΤΙΚΟ ΕΠΙΜΕΛΗΤΗΡΙΟ / ΔΙΟΙΚΗΤΙΚΗ ΕΠΙΤΡΟΠΗ στις 2019-12-30. Ο τύπος της απόφασης είναι Άγνωστος και την υπέγραψε ο/η an unknown person.

Ίδια Έσοδα
438
ΠΡΑΞΗ
Επιστροφή στην προηγούμενη σελίδα