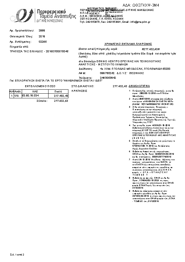
ΧΡΗΜΑΤΙΚΟ ΕΝΤΑΛΜΑ ΠΛΗΡΩΜΗΣ για: ΕΠΙΧΟΡΗΓΗΣΗ ΕΚΕΤΑ ΓΙΑ ΤΟ ΕΡΓΟ "ΑΝΑΒΑΘΜΙΣΗ ΕΚΕΤΑ / ΙΔΕΠ" - 5Η ΕΝΤΟΛΗ ΠΛΗΡΩΜΗΣΑΔΑ: ΩΘΞΓΚΧΨ-3Μ4

Πρώτη σελίδα του εγγράφου

Η απόφαση με ΑΔΑ ΩΘΞΓΚΧΨ-3Μ4 δημοσιεύθηκε από την υπηρεσία ΠΕΡΙΦΕΡΕΙΑΚΟ ΤΑΜΕΙΟ ΑΝΑΠΤΥΞΗΣ ΠΕΡΙΦΕΡΕΙΑΣ ΔΥΤΙΚΗΣ ΜΑΚΕΔΟΝΙΑΣ » ΠΕΡΙΦΕΡΕΙΑΚΟ ΤΑΜΕΙΟ ΑΝΑΠΤΥΞΗΣ ΔΥΤΙΚΗΣ ΜΑΚΕΔΟΝΙΑΣ στις 2019-12-30. Ο τύπος της απόφασης είναι Άγνωστος και την υπέγραψε ο/η an unknown person.

ΠΡΑΞΗ
Επιστροφή στην προηγούμενη σελίδα