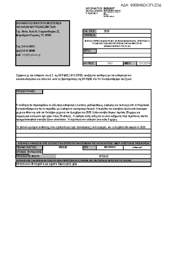
ΠΑΡΟΧΗ ΥΠΗΡΕΣΙΩΝ ΚΑΘΑΡΙΣΜΟΥ ΚΛΙΝΟΣΚΕΠΑΣΜΑΤΩΝ ΚΑΙ ΠΕΤΣΕΤΩΝ ΓΙΑ ΤΙΣ ΑΝΑΓΚΕΣ ΤΩΝ ΔΡΑΣΤΗΡΙΟΤΗΤΩΝ ΤΗΣ ΕΚΟΦΝΣ ΣΤΟ ΟΛ. ΚΩΠΗΛΑΤΟΔΡΟΜΙΟ ΤΟΥ ΣΧΙΝΙΑΑΔΑ: 900Β46ΩΧ3Π-ΖΟΔ

Πρώτη σελίδα του εγγράφου

Η απόφαση με ΑΔΑ 900Β46ΩΧ3Π-ΖΟΔ δημοσιεύθηκε από την υπηρεσία ΕΛΛΗΝΙΚΗ ΚΩΠΗΛΑΤΙΚΗ ΟΜΟΣΠΟΝΔΙΑ ΦΙΛΑΘΛΩΝ ΝΑΥΤΙΚΩΝ ΣΩΜΑΤΕΙΩΝ (Ε.Κ.Ο.Φ.Ν.Σ) » ΔΙΟΙΚΗΤΙΚΟ ΣΥΜΒΟΥΛΙΟ στις 2019-12-27. Ο τύπος της απόφασης είναι Άγνωστος και την υπέγραψε ο/η .

Υπηρεσίες
ΠΡΑΞΗ
Επιστροφή στην προηγούμενη σελίδα