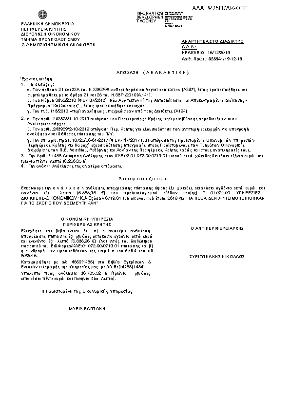
ΑΠΟΦΑΣΗ ΑΝΑΚΛΗΣΗ ΔΕΣΜΕΥΣΗΣ 325941/19-12-19ΑΔΑ: Ψ75Π7ΛΚ-ΩΕΓ

Πρώτη σελίδα του εγγράφου

Η απόφαση με ΑΔΑ Ψ75Π7ΛΚ-ΩΕΓ δημοσιεύθηκε από την υπηρεσία Περιφέρεια Κρήτης » Δ/ΝΣΗ ΟΙΚΟΝΟΜΙΚΟΥ στις 2019-12-16. Ο τύπος της απόφασης είναι Άγνωστος και την υπέγραψε ο/η .

Τακτικός Προϋπολογισμός
1485
ΠΡΑΞΗ
Επιστροφή στην προηγούμενη σελίδα