Λοιπές επικοινωνίεςΑΔΑ: ΩΟ2ΔΟΡΛΦ-Ξ5Ψ

Πρώτη σελίδα του εγγράφου

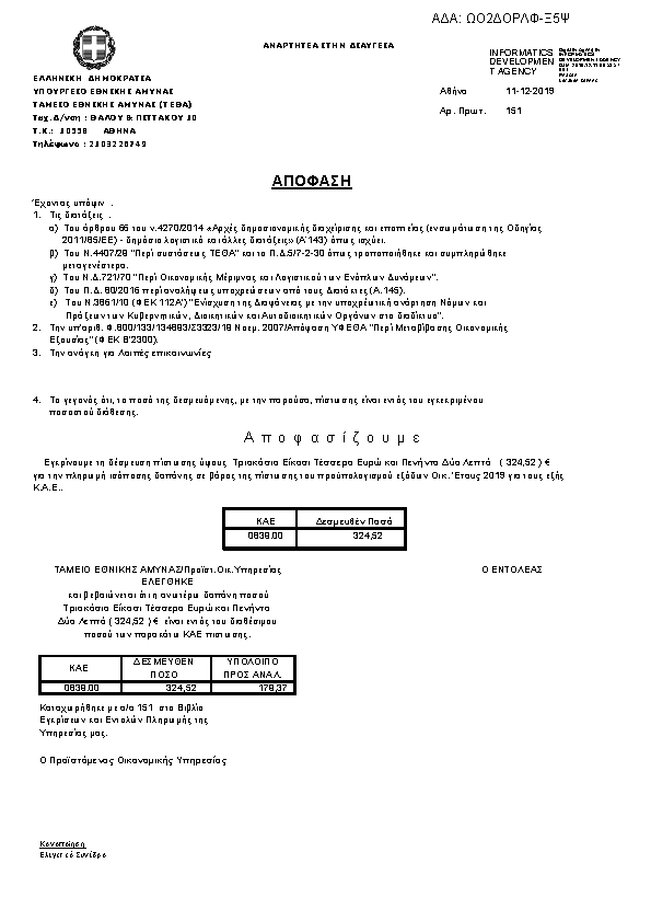
Η απόφαση με ΑΔΑ ΩΟ2ΔΟΡΛΦ-Ξ5Ψ δημοσιεύθηκε από την υπηρεσία ΤΑΜΕΙΟ ΕΘΝΙΚΗΣ ΑΜΥΝΑΣ » ΓΕΝΙΚΟ ΕΠΙΤΕΛΕΙΟ ΣΤΡΑΤΟΥ/ΔΝΤΗΣ Γ΄ ΚΛΑΔΟΥ στις 2019-12-11. Ο τύπος της απόφασης είναι Άγνωστος και την υπέγραψε ο/η an unknown person.

Ίδια Έσοδα
151
ΠΡΑΞΗ
Επιστροφή στην προηγούμενη σελίδα